optimize_anything: A Universal API for Optimizing any Text Parameter¶
Today we are introducing optimize_anything, a declarative API that optimizes any artifact representable as text (e.g., code, prompts, agent architectures, vector graphics, configurations). It extends GEPA (Genetic-Pareto, our state-of-the-art LLM prompt optimizer) far beyond prompts. You declare what to optimize and how to measure it; the system handles the search. Testing it across several domains, we find optimize_anything consistently matches or outperforms domain-specific tools, including some purpose-built for each task. With one API, you can:
- create agent skills achieving near-perfect Claude Code task completion 47% faster,
- optimize cloud scheduling policies that cut costs by 40%, beating expert heuristics,
- find detailed system prompts to boost GPT's math reasoning accuracy,
- discover bespoke agent harnesses that nearly triple Gemini Flash's ARC-AGI accuracy,
- write custom solvers to match and exceed Optuna in blackbox mathematical optimization,
- and... model a 3D unicorn.


The key insight is that a surprisingly wide range of problems can be formulated as optimizing a text artifact: speeding up a CUDA kernel, tuning a scheduling policy, refining a prompt template, or redesigning an agent architecture. If it can be serialized to a string and its quality measured, an LLM can reason about it and propose improvements.
Where prior LLM-evolution frameworks like AlphaEvolve, OpenEvolve, and ShinkaEvolve expose concepts like island topologies1, prompt samplers2, and cascade evaluation stages3, optimize_anything strips the interface down to its essence — and goes further by unifying three optimization modes (single-task search, multi-task search, and generalization) under one declarative API. While prior systems operate exclusively in single-task mode, optimize_anything enables optimization tasks they cannot directly express like discovering agent architectures from scratch, learning prompts that generalize to unseen examples, and optimizing coding agent skills that transfer across models.
The optimize_anything API¶
The Simplest Form¶
At its core, the API requires just two things: an artifact (or a description of what you want) and an evaluator.
import gepa.optimize_anything as oa
def evaluate(candidate: str) -> float:
score, diagnostic = run_my_system(candidate)
oa.log(f"Error: {diagnostic}") # captured as ASI
return score
# Start from an existing artifact…
result = oa.optimize_anything(
seed_candidate="<your initial artifact>",
evaluator=evaluate,
)
# … or just describe what you need.
result = oa.optimize_anything(
evaluator=evaluate,
objective="Generate a Python function `reverse()` that reverses a string.",
)
print(result.best_candidate)
That's it. The evaluator takes a candidate string and returns a score (higher is better). oa.log() works just like print(), but routes output to the LLM proposer as Actionable Side Information (ASI) — diagnostic feedback the proposer reads during reflection. For richer diagnostics, return a structured dictionary alongside the score:
def evaluate(candidate: str) -> tuple[float, dict]:
result = execute_code(candidate)
return result.score, {
"Error": result.stderr,
"Output": result.stdout,
"Runtime": f"{result.time_ms:.1f}ms",
}
ASI can be open-ended text, structured data, multi-objectives (through scores), or even images (via gepa.Image) for vision-capable LLMs; anything that would help an expert understand the artifact and diagnose failures. We'll see ASI in action in the SVG demo, then unpack why it matters.
One Interface, Three Optimization Modes¶
optimize_anything unifies three distinct optimization paradigms under one API, determined by whether you provide a dataset and valset:
1. Single-Task Search: "Solve one hard problem." No dataset needed; the candidate is the solution, and the evaluator scores it directly (no example argument). For example, in circle packing, the artifact is the packing algorithm code and the evaluator returns the score plus geometric diagnostics as ASI. This is the mode that prior LLM-evolution frameworks like AlphaEvolve and OpenEvolve operate in.
2. Multi-Task Search: "Solve a batch of related problems with cross-transfer." You provide a dataset of related tasks; insights from solving one help solve the others. For example, in CUDA kernel generation, each task is a PyTorch operation to accelerate on the same hardware, and the evaluator compiles and benchmarks the kernel returning compiler errors and profiler traces as ASI. Even though the kernels perform different computations, multi-task mode converges faster and solves more problems across all speedup thresholds than dedicated single-task optimization, thanks to cross-transfer of optimization patterns. No prior LLM-evolution framework supports this mode.
3. Generalization: "Build a skill that transfers to unseen problems." You provide both a training dataset and a held-out valset; the optimized artifact (a prompt, an agent, a policy) must generalize to unseen examples. This is the mode that GEPA's prompt optimization operates in. optimize_anything generalizes the pattern to any text artifact, not just prompts, abstracting over traditional machine learning and program synthesis. For example, in agent architecture discovery, the artifact is the entire agent, the dataset and valset are ARC-AGI puzzles, and the evaluator runs the agent and returns its errors as ASI. The optimized agent improves from 32.5% to 89.5% on the test set (+57 percentage points). The same mode also powers cloud scheduling policy discovery, where the artifact is an algorithm that must generalize across unseen infrastructure scenarios.
The full API signature:
def optimize_anything(
seed_candidate: str | dict[str, str] | None = None, # Starting artifact (or None for seedless)
evaluator: Callable, # Score + ASI
dataset: list | None = None, # Training examples (modes 2 & 3)
valset: list | None = None, # Validation set (mode 3)
objective: str | None = None, # What to optimize for (natural language)
background: str | None = None, # Domain knowledge and constraints
config: GEPAConfig | None = None, # Engine, reflection, tracking settings
) -> GEPAResult:
"""
Call with either (seed_candidate+evaluator) or (evaluator+objective)
"""
Notice what's absent: no mutation prompts, no task-specific instruction templates, no island configurations, no EVOLVE-BLOCK markers (all common in prior LLM-evolution frameworks). You declare the what (your artifact, your evaluator, and any domain knowledge as background) and optimize_anything handles the how: prompt construction, reflection, candidate selection, and search strategy. This declarative design, inspired by DSPy's principle of programming not prompting, means the same API call works whether you're optimizing a CUDA kernel, a cloud scheduling policy, or an agent architecture.
Let's Take It for a Spin¶
Let's use optimize_anything to optimize SVG source code depicting "a pelican riding a bicycle" starting from a blank white canvas. The evaluator renders the SVG as a PNG, asks a VLM to score it against visual criteria, and passes the rendered image back as ASI so the proposer can literally see what it's improving. Here's the zero-shot baseline from Claude Opus 4.6 versus the best optimized result after exploring 20 candidates:


The optimizer added background elements, improved anatomy, increased the sophistication of all visual elements, and refined the composition — all through LLM reflection on rendered image feedback.
Notably, we optimize the SVG code itself, not a prompt that generates SVG. Here's the code.
First, we define our evaluator and the visual aspects we'd like it to grade for:
from gepa import Image
from demo_utils import render_image, get_vlm_score_feedback
GOAL = "a pelican riding a bicycle"
VLM = "vertex_ai/gemini-3-flash-preview"
def evaluate(candidate, example):
"""Render SVG → image, score with a VLM, return (score, side_info)."""
image = render_image(candidate["svg_code"]) # via cairosvg
score, feedback = get_vlm_score_feedback(VLM, image, example["criteria"]) # simple regex parser
return score, {
"RenderedSVG": Image(base64_data=image, media_type="image/png"),
"Feedback": feedback,
}
VISUAL_ASPECTS = [
# 6 visual aspects → Pareto-efficient selection
{"id": "overall", "criteria": f"Rate overall quality of this SVG ({GOAL}). SCORE: X/10"},
{"id": "anatomy", "criteria": "Rate pelican accuracy: beak, pouch, plumage. SCORE: X/10"},
{"id": "bicycle", "criteria": "Rate bicycle: wheels, frame, handlebars, pedals. SCORE: X/10"},
{"id": "composition", "criteria": "Rate how convincingly the pelican rides the bicycle. SCORE: X/10"},
{"id": "visual", "criteria": "Rate visual appeal, scenery, and color usage. SCORE: X/10"},
{"id": "craft", "criteria": "Rate SVG technical quality: shapes, layering. SCORE: X/10"},
]
Then, we put it all together and run optimize_anything:
from gepa.optimize_anything import (
optimize_anything, GEPAConfig, EngineConfig, ReflectionConfig,
)
result = optimize_anything(
seed_candidate={"svg_code": open("seed.svg").read()}, # a plain white canvas
evaluator=evaluate,
dataset=VISUAL_ASPECTS,
objective=f"Optimize SVG code to illustrate '{GOAL}'. Output ONLY valid SVG.",
config=GEPAConfig(
engine=EngineConfig(max_metric_calls=150),
reflection=ReflectionConfig(reflection_lm=VLM),
),
)
print(result.best_candidate)
A few things to note:
- The
datasetcontains 6 evaluation aspects. GEPA calls the evaluator once per aspect per candidate, tracking scores individually. This enables Pareto-efficient selection: a candidate that excels at bicycle structure but struggles with pelican anatomy is preserved on the frontier, not discarded because its overall average score is smaller. - Our desired visual aspects are defined in concise natural language. We avoid the need for detailed rubrics and simply rely on the VLM's judgment for scoring.
reflection_minibatch_size=2(the default) means each reflection step shows the LLM feedback from just 2 of the 6 aspects. Over multiple iterations, all aspects get attention, but each reflection is focused and targeted.- The rendered image is passed as ASI via
Image(base64_data=...), giving the VLM proposer visual feedback on its own output. The VLM evaluator never sees the SVG code, only the rendered image. The proposer sees both the feedback and the source SVG, and proposes targeted improvements.
How It Works¶
Classical optimization methods reduce all diagnostic context to a single scalar. They know that a candidate failed, but not why. You can't show a Bayesian optimizer the stack trace that pinpoints the bug. Recent LLM-evolution frameworks changed this by feeding execution results and textual feedback into LLM proposers. However, the "evolutionary" framing these frameworks inherit suggests a blind process — mutate, evaluate, select, repeat. But when an LLM reads a compiler error, diagnoses a logic bug, and proposes a targeted fix, that's not natural selection, it's an engineer iterating on a prototype. optimize_anything leans into this with two key ingredients: diagnostic feedback as a first-class API concept and Pareto-efficient search.
Actionable Side Information (ASI)¶
optimize_anything makes diagnostic feedback a first-class part of the evaluator contract. Prior frameworks expose feedback through framework-specific mechanisms; ASI provides a uniform interface that makes it trivial to surface any diagnostic the evaluator can produce, including modalities no prior framework supports, such as rendered images that let a VLM visually inspect its own output. In the pelican demo, the evaluator passed the rendered SVG back as an image so the proposer could literally see what it was improving. During a dedicated reflection step, the proposer reasons over this signal to diagnose failures and propose targeted fixes.
Pareto-Efficient Search¶
Even when optimizing a single objective, evaluating candidates across multiple aspects or examples produces richer signal. The naive approach collapses that signal into one average score and always improves the top candidate. This stalls fast: averaging hides which aspects are strong and which are weak, and the proposer tries to improve everything at once instead of focusing.
optimize_anything does two things differently. First, it tracks scores per task (expressed in dataset or valset) or metric (expressed in returned score from evaluator and scores field in ASI) individually and maintains a Pareto frontier: any candidate that is the best at something survives, even if its average is suboptimal. Second, each reflection step shows the proposer a minibatch of just 2–3 examples or metrics instead of all of them. The proposer makes focused, targeted improvements on that subset, and the Pareto frontier ensures these specialized gains are preserved across iterations rather than averaged away. Over iterations, the frontier accumulates complementary strengths, and the best candidates combine them. The same mechanism powers multi-task search: when optimizing across a batch of related problems, the frontier preserves candidates that excel on different tasks, and strategies discovered for one problem transfer to others — which is why multi-task mode outperforms dedicated single-task optimization on CUDA kernel generation.
Results¶
optimize_anything learns repository-specific skills that push coding agents to near-perfect accuracy, discovers novel cloud scheduling algorithms that cut costs by 40%, evolves a 10-line agent stub into a 300+ line system that nearly triples its test accuracy on ARC-AGI, boosts GPT's math reasoning via prompt optimization, generates fast CUDA kernels, beats AlphaEvolve's solution at circle packing, matches Optuna (a mature numerical optimizer) by generating custom solver code from scratch, and models a 3D unicorn from no seed code. We test across eight domains spanning search, batch optimization, and generalization. Each section below walks through the examples and links to full, runnable code.
1. Optimize Agent Skills: Near-Perfect Claude Code Accuracy, 47% Faster¶
Mode: Generalization. Skills (natural-language instructions and best practices for working with a specific codebase) are text artifacts too. optimize_anything can optimize them: the evaluator runs a coding agent on real tasks from the repository and scores whether it resolves them; the optimized skills must generalize to unseen tasks.
The results are striking: GEPA-optimized skills boost resolve rates from 24% to 93% on one repository and from 55% to 82% on another, and transfer directly to Claude Code, pushing it to near-perfect pass rates while cutting resolution time by 47%.
Key result: optimize_anything learns repository-specific skills that dramatically improve coding agent performance and transfer across models. Read the full post →
2. Discover Cloud Algorithms That Cut Costs up to 40%¶
Mode: Generalization. We optimize cloud infrastructure algorithms: CloudCast discovers broadcast routing strategies for multi-cloud data transfer (minimizing egress cost), and Can't Be Late learns scheduling policies that decide when to use cheap-but-preemptible SPOT instances versus reliable ON_DEMAND instances to complete tasks before deadlines.


Key result: optimize_anything discovers state-of-the-art algorithms for both problems (40.2% cost savings on CloudCast and 7.8% cost savings on Can't Be Late), topping the ADRS leaderboard (outperforming OpenEvolve, ShinkaEvolve, and expert-designed heuristics). CloudCast code → | Can't Be Late code →
3. Nearly Triple Gemini-Flash's ARC-AGI Accuracy via Agent Architecture Evolution¶
Mode: Generalization. This is the most ambitious application. Rather than optimizing a prompt, we optimize the entire agent system: code, sub-agent architecture, control flow, helper functions, and prompts are all treated as a single text artifact. The seed is a 10-line naive agent; GEPA evolves it into a 300+ line system with rule induction, code verification, iterative refinement, and structured fallbacks. It nearly triples Gemini Flash's ARC-AGI accuracy at just twice the cost per task.
Key result: Using the same underlying model (Gemini 3 Flash), optimize_anything improves ARC-AGI v1 public test accuracy from 32.5% to 89.5% by evolving the entire agent architecture, achieving gains that typically require significant manual iteration. Full code →
4. Improve GPT's Math Accuracy via Prompt Optimization (AIME)¶
Mode: Generalization. We optimize a system prompt for gpt-4.1-mini by training on AIME 2022–2024 math competition problems and testing on AIME 2025. GEPA sets the state-of-the-art for prompt optimization.
Key result: Pure prompt optimization improves gpt-4.1-mini from 46.67% to 60.00% on AIME 2025, a 13.3 percentage point gain from changing only the system prompt. Full code →
5. Accelerate PyTorch with Custom CUDA Kernels¶
Mode: Multi-Task Search. We generate fast CUDA kernels for multiple reference PyTorch operations from KernelBench, evaluated on a V100 32 GB GPU. Under the hood, GEPA evolves the prompt that drives kernel generation, so improvements discovered for one problem transfer to others automatically.
To gauge the effectiveness of cross-task learning, we take the 10 problems where multi-task mode performed best and re-optimize each from scratch in single-task mode to see whether a dedicated single-task run can beat the multi-task result. The graph below shows that a multi-task mode converges faster and solves more problems across all speedup thresholds.
Key result: 87% of GEPA-generated kernels match or beat the baseline, with 25% achieving 20%+ speedups. Multi-task mode outperforms dedicated single-task search modes, suggesting the efficiency of cross-task learning. Full code →
6. Outperform AlphaEvolve's solution at Circle Packing¶
Mode: Single-Task Search. Pack n=26 circles to maximize the sum of their radii within a unit square. GEPA optimizes the packing algorithm code, using execution results and geometric diagnostics as ASI.
Key result: GEPA outperforms prior LLM-evolution frameworks (AlphaEvolve/ShinkaEvolve/OpenEvolve), reaching a score of 2.63598+. Full code →
7. Match or Outperform Optuna at Blackbox Mathematical Optimization¶
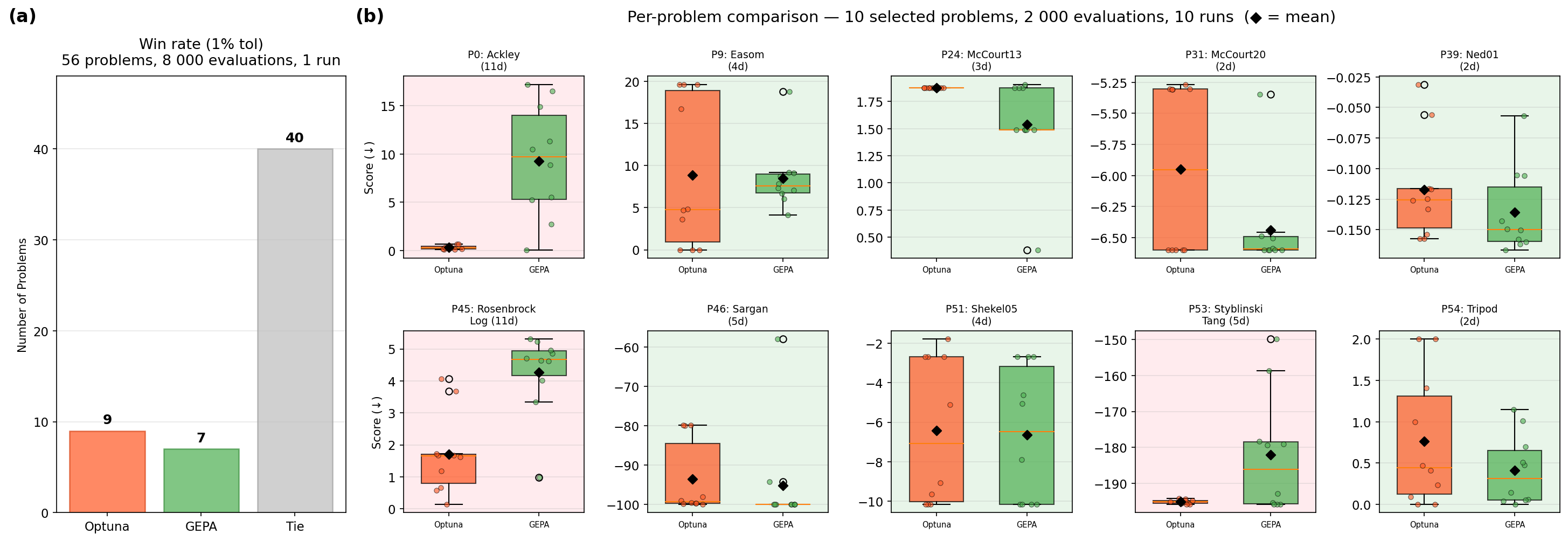
Mode: Single-Task Search. Given a blackbox objective function, optimize_anything discovers an optimization algorithm tailored to it and matches Optuna, the industry-standard blackbox optimizer, across the 56-problem EvalSet benchmark.
On the 56-problem evalset benchmark with large budgets, GEPA and Optuna tie on most problems. But on the hardest problems with lower budgets where Optuna struggles, an interesting pattern emerges: Optuna's fixed TPE-CMA-ES pipeline fails in predictable, structural ways. On McCourt13, all 10 independent Optuna runs converge to the same local minimum because TPE's independent per-dimension sampling always falls into the dominant trap basin. On Tripod, CMA-ES assumes a smooth, unimodal landscape, but the objective is piecewise-linear with hard discontinuities, so it converges to the wrong basin and cannot escape.
GEPA tailors the solver to each problem by learning from accumulated evaluation history. For boundary optima, it discovers L-BFGS-B, a box-constrained optimizer that naturally sticks to boundaries. For deceptive traps, it designs multi-start search from diverse starting points, escaping basins that trap single-trajectory methods. While Optuna tunes parameters within a fixed algorithm, GEPA learns to optimize the algorithm itself on the fly.
Key result: optimize_anything matches the performance of Optuna, a mature numerical optimizer, by optimizing a blackbox search program tailored to each problem. Full code →
8. From Vague Idea to 3D Unicorn — No Seed Required¶
Mode: Multi-Task Search (seedless). Every example so far starts from a hand-written seed: a blank SVG, a naive agent stub, a baseline algorithm. But what if you don't even know where to begin? You know what you want — a 3D unicorn — and you can articulate what good looks like (anatomical accuracy, mesh quality, visual appeal), but you have no idea how to wire up build123d geometry, STL export, and pyrender camera orbits into a working script.
This is exactly what seedless mode (seed_candidate=None) is for. Instead of providing a starting artifact, you describe the objective and the technical context as natural language, and GEPA's reflection LM bootstraps the first candidate itself:
result = optimize_anything(
seed_candidate=None, # no starting code — the LM writes the first draft
evaluator=evaluate_3d_render,
dataset=VISUAL_ASPECTS, # 4 aspects: quality, anatomy, mesh, appeal
objective="Optimize a Python program (build123d + pyrender) to generate a 3D unicorn.",
background=(
"The candidate is a complete Python script that produces multi-view PNG renderings. "
"Use build123d for CSG geometry, export to STL, render with pyrender. "
"Known working imports: numpy, pyrender, trimesh, build123d (Box, Cylinder, Cone, ...)."
),
)
The evaluator runs each candidate as a subprocess, collects the rendered PNGs, and asks a VLM to score them — passing the images back as ASI so the proposer can see what its code produces. Here's Claude Opus 4.6's zero-shot attempt versus the GEPA-optimized result:


The zero-shot model produces a recognizable but crude unicorn — blocky torso, piston-like legs, a horn on a box head. GEPA iteratively refines the geometry, improving proportions, adding anatomical detail, and even adds a swirl around the horn, all without any human-written seed code to start from.
The seedless mode is particularly useful for tasks where the solution space is large and unfamiliar such as creative or exploratory tasks. You bring the evaluation criteria (your taste) and the optimizer handles everything else. Full code →
Conclusion & Getting Started¶
optimize_anything has a simple premise: if your artifact is text and its performance can be measured, you can optimize it. The API is minimal, requiring only a seed (or task description), an evaluator, and optionally a dataset. The results span algorithmic discovery, kernel generation, systems research, prompt tuning, agent architecture search, blackbox optimization, and coding agent skill learning.
The key ideas: (1) three unified modes (single-task search, multi-task search, and generalization) under one declarative API; (2) Actionable Side Information (ASI) as a first-class API concept that turns blind mutation into targeted, diagnostic-driven engineering; (3) Pareto-efficient search across metrics and examples that outperforms naive all-at-once optimization.
By design, optimize_anything is a general frontend for text optimization. It is currently powered by GEPA as the optimization backend, but the API is backend-agnostic: as new optimization strategies emerge with increasingly powerful models, they can be plugged in without changing any user code. Our goal is for optimize_anything to always dispatch to the best available optimizer for your problem. We welcome community contributions of new optimization backends, evaluators, and case studies.
Get started:
import gepa.optimize_anything as oa
result = oa.optimize_anything(
seed_candidate="<your artifact>",
evaluator=your_evaluator,
)
Appendix: Detailed Code Walkthroughs for each Case Study¶
Cloud Broadcast Routing (CloudCast)
Generalization mode for cloud infrastructure optimization. Optimizes a Python program that implements a broadcast routing strategy, evaluated against real-world cloud simulations. GEPA discovers algorithms that generalize across diverse network configurations.
CloudCast — broadcast routing for multi-cloud data transfer.
Artifact being evolved: a Python search_algorithm function (the full routing algorithm code) that receives a network graph of cloud regions and must return a BroadCastTopology — a set of routing paths from a source to multiple destinations across AWS, GCP, and Azure. The network is a directed graph where nodes are cloud regions and edges carry cost ($/GB) and throughput (Gbps) attributes. GEPA evolves the entire algorithm, including data structures it uses.
Seed Candidate — A baseline Dijkstra shortest-path router. It finds the single cheapest path to each destination and sends all data partitions along the same route:
SEED_PROGRAM = """
import networkx as nx
from typing import Dict, List
class BroadCastTopology:
def __init__(self, src, dsts, num_partitions=4, paths=None):
self.src = src
self.dsts = dsts
self.num_partitions = num_partitions
self.paths = paths or {dst: {str(i): None for i in range(num_partitions)} for dst in dsts}
def set_num_partitions(self, num_partitions):
self.num_partitions = num_partitions
def set_dst_partition_paths(self, dst, partition, paths):
self.paths[dst][str(partition)] = paths
def append_dst_partition_path(self, dst, partition, path):
partition = str(partition)
if self.paths[dst][partition] is None:
self.paths[dst][partition] = []
self.paths[dst][partition].append(path)
def search_algorithm(src, dsts, G, num_partitions):
\"\"\"Baseline: Dijkstra shortest-cost path, same route for all partitions.\"\"\"
h = G.copy()
h.remove_edges_from(list(h.in_edges(src)) + list(nx.selfloop_edges(h)))
bc_topology = BroadCastTopology(src, dsts, num_partitions)
for dst in dsts:
path = nx.dijkstra_path(h, src, dst, weight="cost")
for i in range(len(path) - 1):
s, t = path[i], path[i + 1]
for j in range(num_partitions):
bc_topology.append_dst_partition_path(dst, j, [s, t, G[s][t]])
return bc_topology
"""
Evaluator — The evaluator runs the candidate's search_algorithm through a broadcast simulator that models real cloud egress costs and bandwidth constraints. get_program_path caches the candidate to a temp file (keyed by content, so repeated calls are free). run_evaluation loads it as a Python module, executes it on the network graph, and runs the simulator to compute cost and transfer time.
ASI (Actionable Side Information): The side information includes (1) per-destination route breakdowns with egress cost and transfer time, (2) cost decomposition into egress vs. instance components, and (3) bottleneck destination identification. This tells the LLM proposer where the algorithm is wasting money (e.g., expensive cross-provider hops) and which destinations are slowest, guiding targeted improvements.
from utils.simulation import (
FAILED_SCORE,
get_program_path, syntax_is_valid, syntax_failure_info,
run_evaluation, evaluation_failure_info, evaluation_success_info,
)
def evaluate(candidate: dict, example: dict, **kwargs):
program_path = get_program_path(candidate["program"])
if not syntax_is_valid(program_path):
return FAILED_SCORE, syntax_failure_info(example)
success, cost, transfer_time, error, details = run_evaluation(
program_path, example["config_file"], example["num_vms"]
)
if not success:
return FAILED_SCORE, evaluation_failure_info(error, example)
score = 1.0 / (1.0 + cost)
return score, evaluation_success_info(score, cost, transfer_time, example, details)
Optimizer — Generalization mode with 5 multi-cloud broadcast configurations as both the training and validation set (intra-AWS, intra-Azure, intra-GCP, and two cross-cloud scenarios). The evolved algorithm must generalize across intra- and inter-provider network topologies.
from gepa.optimize_anything import optimize_anything, GEPAConfig, EngineConfig, ReflectionConfig
from utils.dataset import load_config_dataset
from utils.lm import make_reflection_lm
# 5 multi-cloud broadcast configs: intra_aws, intra_azure, intra_gcp, inter_agz, inter_gaz2
dataset = load_config_dataset()
result = optimize_anything(
seed_candidate={"program": SEED_PROGRAM},
evaluator=evaluate,
dataset=dataset,
valset=dataset,
objective="Optimize a broadcast routing algorithm for multi-cloud data transfer. "
"Minimize total cost (egress fees + instance costs) while maintaining "
"good transfer times.",
background="Nodes are cloud regions (e.g. 'aws:us-east-1', 'gcp:europe-west1-a'). "
"Edges have 'cost' ($/GB egress) and 'throughput' (Gbps). Data is split "
"into num_partitions chunks routable independently. Total cost = egress "
"cost + instance runtime cost. Intra-provider links are typically cheaper.",
config=GEPAConfig(
engine=EngineConfig(max_metric_calls=100),
reflection=ReflectionConfig(reflection_lm=make_reflection_lm("gemini-3-pro-preview")),
),
)
Optimized artifact — The evolved algorithm achieves 40.2% cost savings over the Dijkstra baseline. Starting from a simple single-path router, GEPA discovered a sophisticated provider-aware Steiner tree algorithm with Pareto-frontier candidate selection and greedy partition allocation. Key innovations: (1) provider-penalty weighting to prefer cheap intra-provider links, (2) diverse candidate generation via multiple Steiner tree strategies, (3) Pareto filtering on cost vs. time, and (4) incremental partition assignment that models bandwidth contention.
import networkx as nx
import random
import math
from typing import Dict, List, Set, Tuple, Any
from collections import defaultdict
class SingleDstPath(Dict):
partition: int
edges: List[List] # [[src, dst, edge data]]
class BroadCastTopology:
def __init__(self, src: str, dsts: List[str], num_partitions: int = 4, paths: Dict[str, 'SingleDstPath'] = None):
self.src = src
self.dsts = dsts
self.num_partitions = num_partitions
if paths is not None:
self.paths = paths
else:
self.paths = {dst: {str(i): None for i in range(num_partitions)} for dst in dsts}
def get_paths(self):
return self.paths
def set_num_partitions(self, num_partitions: int):
self.num_partitions = num_partitions
def set_dst_partition_paths(self, dst: str, partition: int, paths: List[List]):
partition = str(partition)
if dst not in self.paths:
self.paths[dst] = {}
self.paths[dst][partition] = paths
def search_algorithm(src, dsts, G, num_partitions):
"""
Optimized Broadcast Routing Algorithm v3.
Key Optimizations:
1. Provider-Aware Weighting: biases path finding towards intra-provider links to minimize egress.
2. Pareto-Frontier Candidate Selection: Explicitly keeps candidates that offer distinct
cost/time tradeoffs, preventing the greedy allocator from getting stuck in local optima.
3. Diverse Steiner Strategies: Includes MST-like approximations for cost and bottleneck-widest
paths for throughput.
4. Robust Greedy Allocation: Accurately models bandwidth contention across partitions.
"""
# --- Constants & Configuration ---
EST_DATA_VOL_GB = 300.0
EST_INSTANCE_COST_PER_HR = 10.0
PARTITION_VOL_GB = EST_DATA_VOL_GB / max(1, num_partitions)
HOURLY_RATE_PER_SEC = EST_INSTANCE_COST_PER_HR / 3600.0
# Sweep parameters for Cost ($) vs Time (1/BW) tradeoff
# Low alpha = Cost optimized. High alpha = Time optimized.
# Alphas tuned around the expected exchange rate of $/Gbps (~0.002 to 0.1)
alphas = [0.0, 1e-5, 0.001, 0.01, 0.05, 0.1, 0.5, 2.0, 10.0]
# Prune edges below these bandwidths (Gbps) to avoid slow paths
# 0.0 includes all, higher values force backbone usage
bw_thresholds = [0.0, 0.5, 5.0, 20.0]
strategies = ['prim', 'prim', 'furthest', 'random'] # bias towards prim (usually better cost)
# --- Helper: Provider Extraction ---
def get_provider(node_name):
if ':' in node_name:
return node_name.split(':')[0]
return 'unknown'
src_provider = get_provider(src)
# --- Pre-process Graph ---
clean_G = G.copy()
# Remove incoming edges to source to enforce DAG flow from root
try:
clean_G.remove_edges_from(list(clean_G.in_edges(src)) + list(nx.selfloop_edges(clean_G)))
except:
pass
# Normalize weights & Cache bandwidths
# We create a 'base_weight' that includes a penalty for crossing providers
edge_bws = {}
for u, v, data in clean_G.edges(data=True):
if 'cost' not in data: data['cost'] = 0.0
if 'throughput' not in data: data['throughput'] = 1.0
# Ensure strictly positive BW
if data['throughput'] <= 1e-6: data['throughput'] = 1e-6
edge_bws[(u,v)] = data['throughput']
# Provider penalty logic for candidate generation weights
u_prov = get_provider(u)
v_prov = get_provider(v)
# Base penalty: small epsilon to prefer fewer hops
penalty = 1.0
if u_prov != v_prov:
# Inter-provider is usually expensive, so we bias against it in search
# (Note: real cost is in data['cost'], this is just heuristic guidance)
penalty = 1.5
data['penalty_factor'] = penalty
candidates = []
seen_topologies = set()
# --- Helper: Build Steiner Tree ---
def build_steiner_tree(strategy, alpha, graph_base, targets, edge_penalty_map=None):
H = graph_base.copy()
# Initialize heuristic weights
# W = (Cost + Alpha/BW) * Penalty
for u, v, d in H.edges(data=True):
d['paid'] = False
# Core tradeoff
base_w = d['cost'] + (alpha / d['throughput'])
# Hops & Provider bias
base_w = max(1e-6, base_w) * d['penalty_factor']
if edge_penalty_map and (u,v) in edge_penalty_map:
base_w *= edge_penalty_map[(u,v)]
d['weight'] = base_w
tree_paths = {} # node -> list of nodes
remaining_dsts = set(targets)
# Iteratively connect closest/furthest nodes to the growing tree
while remaining_dsts:
try:
# Dijkstra from Source on current H
# Note: H edges that are 'paid' have reduced weight, effectively
# finding path from the existing tree structure.
dists, paths = nx.single_source_dijkstra(H, src, weight='weight')
except nx.NetworkXNoPath:
break
# Filter reachable remaining targets
reachable = [d for d in remaining_dsts if d in dists]
if not reachable:
break
# Select target based on strategy
if strategy == 'prim':
# Closest first (min cost expansion)
reachable.sort(key=lambda x: dists[x])
target = reachable[0]
elif strategy == 'furthest':
# Furthest first (reduce diameter/bottlenecks)
reachable.sort(key=lambda x: dists[x], reverse=True)
target = reachable[0]
else:
target = random.choice(reachable)
# Extract path
path_nodes = paths[target]
# Commit path to tree
# For every node in this path, if it's a target, record its path
for i, node in enumerate(path_nodes):
if node in remaining_dsts:
tree_paths[node] = path_nodes[:i+1]
remaining_dsts.remove(node)
# 'Pay' for the edges: reduce weight for subsequent iterations
# This encourages edge sharing (multicast tree)
for i in range(len(path_nodes) - 1):
u, v = path_nodes[i], path_nodes[i+1]
if not H[u][v]['paid']:
H[u][v]['paid'] = True
# Set to very small positive weight to prefer reuse
# We keep a tiny BW component to prefer wider pipes even when 'free'
H[u][v]['weight'] = 1e-6 + (alpha / H[u][v]['throughput']) * 0.001
return tree_paths
# --- Phase 1: Candidate Generation ---
# A. Shortest Path Trees (Baselines)
for alpha in alphas:
H = clean_G.copy()
for u, v, d in H.edges(data=True):
d['weight'] = d['cost'] + (alpha / d['throughput'])
try:
dists, paths = nx.single_source_dijkstra(H, src, weight='weight')
spt_paths = {t: paths[t] for t in dsts if t in paths}
if len(spt_paths) == len(dsts):
candidates.append({'type': 'spt', 'paths': spt_paths, 'alpha': alpha})
except:
pass
# B. Diverse Steiner Trees
for min_bw in bw_thresholds:
# Create sub-graph meeting BW requirements
H_base = clean_G.copy()
if min_bw > 0:
remove_edges = [(u, v) for u, v, d in H_base.edges(data=True) if d['throughput'] < min_bw]
H_base.remove_edges_from(remove_edges)
# Connectivity check
if H_base.out_degree(src) == 0 and len(dsts) > 0:
continue
for alpha in alphas:
penalty_map = defaultdict(lambda: 1.0)
# Generate variations
# 1st: Standard strategy choice
# 2nd/3rd: Penalize used edges to find disjoint/diverse paths
for _ in range(3):
strat = random.choice(strategies)
tree_paths = build_steiner_tree(strat, alpha, H_base, dsts, penalty_map)
if len(tree_paths) == len(dsts):
candidates.append({
'type': 'steiner',
'paths': tree_paths,
'alpha': alpha,
'min_bw': min_bw
})
# Update penalty map for diversity
used_edges = set()
for p in tree_paths.values():
for k in range(len(p)-1):
used_edges.add((p[k], p[k+1]))
for e in used_edges:
penalty_map[e] *= 1.2 # Increment penalty
else:
break
# --- Phase 2: Candidate Scoring & Filtering ---
# We map candidates to (Cost, Time) points and filter the Pareto frontier
unique_candidates = []
for cand in candidates:
tree_paths = cand['paths']
# Flatten to edges
tree_edges = set()
for nodes in tree_paths.values():
for i in range(len(nodes) - 1):
tree_edges.add((nodes[i], nodes[i+1]))
topo_sig = frozenset(tree_edges)
if topo_sig in seen_topologies:
continue
seen_topologies.add(topo_sig)
# Calculate metrics for the specific candidate
# Unit Egress: Cost to send 1GB to all Dsts via this tree
unit_egress = sum(clean_G[u][v]['cost'] for u, v in tree_edges)
# Bottleneck: Slowest link in the tree
min_bw = min((clean_G[u][v]['throughput'] for u, v in tree_edges), default=1e-9)
# Est Time for full volume (heuristic for sorting)
est_time = (EST_DATA_VOL_GB * 8.0) / min_bw
# Total cost for full volume
total_cost = (unit_egress * EST_DATA_VOL_GB) + (est_time * HOURLY_RATE_PER_SEC)
unique_candidates.append({
'id': len(unique_candidates),
'unit_egress': unit_egress,
'min_bw': min_bw,
'est_time': est_time,
'score': total_cost,
'edges': list(tree_edges),
'paths': tree_paths
})
if not unique_candidates:
# Fallback: simple direct paths if everything failed
return BroadCastTopology(src, dsts, num_partitions)
# Pareto Filtering: Keep candidate C if no other candidate is strictly better in both Cost and Time
# Optimization: To reduce O(N^2), sort by cost first
unique_candidates.sort(key=lambda x: x['unit_egress'])
pareto_candidates = []
current_best_time = float('inf')
for cand in unique_candidates:
# Since we iterate from lowest cost, if this cand has lower time than any seen so far,
# it lies on the frontier.
# We accept equal time if cost is strictly lower (guaranteed by sort order/loop)
if cand['est_time'] < current_best_time:
pareto_candidates.append(cand)
current_best_time = cand['est_time']
# Also keep top raw score candidates (mix) just in case Pareto misses a balanced middle ground
unique_candidates.sort(key=lambda x: x['score'])
best_score_candidates = unique_candidates[:15]
# Combine and deduplicate
final_pool = {c['id']: c for c in pareto_candidates + best_score_candidates}.values()
final_pool = list(final_pool)
# --- Phase 3: Greedy Partition Allocation ---
partition_assignments = []
current_edge_load = defaultdict(float) # (u,v) -> GB volume
current_total_egress = 0.0 # Total egress dollars
# Cache global max time to avoid recomputing from scratch every inner loop
# But since max depends on specific edge bottlenecks, we compute incrementally.
for part_idx in range(num_partitions):
best_cand = None
best_objective = float('inf')
# Pre-calculate base max time from existing assignments
base_max_time = 0.0
if current_edge_load:
for (u,v), load in current_edge_load.items():
t = (load * 8.0) / edge_bws.get((u,v), 1e-9)
if t > base_max_time: base_max_time = t
for cand in final_pool:
# 1. Marginal Cost Calculation
# We pay egress for the tree edges.
# Egress = Sum(Edge Cost * Edge Vol).
# If we add this candidate, we add PARTITION_VOL_GB to all its edges.
# Since edges are independent in cost summation, marginal cost is exactly:
added_egress = cand['unit_egress'] * PARTITION_VOL_GB
proj_egress = current_total_egress + added_egress
# 2. Projected Time Calculation
# Calculate the new max time if we add load to this candidate's edges
cand_local_max_time = 0.0
for u, v in cand['edges']:
current_load = current_edge_load.get((u,v), 0.0)
new_load = current_load + PARTITION_VOL_GB
t = (new_load * 8.0) / edge_bws.get((u,v), 1e-9)
if t > cand_local_max_time:
cand_local_max_time = t
# Global max time is max of (unchanged edges, changed edges)
proj_max_time = max(base_max_time, cand_local_max_time)
# 3. Total Objective
proj_instance_cost = proj_max_time * HOURLY_RATE_PER_SEC
proj_total_cost = proj_egress + proj_instance_cost
if proj_total_cost < best_objective:
best_objective = proj_total_cost
best_cand = cand
# Commit assignment
if best_cand:
partition_assignments.append(best_cand)
current_total_egress += best_cand['unit_egress'] * PARTITION_VOL_GB
for u, v in best_cand['edges']:
current_edge_load[(u,v)] += PARTITION_VOL_GB
else:
# Should not happen given fallbacks, but safety measure
if final_pool:
partition_assignments.append(final_pool[0])
# --- Phase 4: Construct Output ---
bc_topology = BroadCastTopology(src, dsts, num_partitions)
for part_id, cand in enumerate(partition_assignments):
for dst in dsts:
if dst in cand['paths']:
nodes = cand['paths'][dst]
path_edges = []
for k in range(len(nodes) - 1):
u, v = nodes[k], nodes[k+1]
if G.has_edge(u, v):
d = G[u][v]
else:
d = {'cost': 0.0, 'throughput': 1.0}
path_edges.append([u, v, d])
bc_topology.set_dst_partition_paths(dst, part_id, path_edges)
return bc_topology
Cloud Spot Scheduling (Can't Be Late)
Generalization mode for cloud infrastructure optimization. Optimizes a Python program that implements a scheduling strategy, evaluated against real-world spot-availability traces. GEPA discovers scheduling policies that generalize across diverse job configurations and spot-availability patterns.
Can't Be Late — cloud scheduling with SPOT vs ON_DEMAND instances.
Artifact being evolved: a Python scheduling policy (the _step method of a Strategy class) that is called at each time step and must return one of three actions: ClusterType.SPOT (~0.30/hr, cheap but preemptible), ClusterType.ON_DEMAND (~1.00/hr, reliable), or ClusterType.NONE (wait, no cost). The policy has access to remaining task time, deadline, restart overhead, and spot availability. GEPA evolves the entire strategy class, including any state variables it tracks.
Seed Candidate — A simple greedy heuristic: use ON_DEMAND only when the deadline is imminent, otherwise prefer SPOT when available, and wait when it's not:
SEED_PROGRAM = """
import math
from sky_spot.strategies.strategy import Strategy
from sky_spot.utils import ClusterType
class EvolveSingleRegionStrategy(Strategy):
NAME = 'evolve_single_region'
def __init__(self, args):
super().__init__(args)
def reset(self, env, task):
super().reset(env, task)
def _step(self, last_cluster_type: ClusterType, has_spot: bool) -> ClusterType:
env = self.env
# Task completion check
remaining_task_time = self.task_duration - sum(self.task_done_time)
if remaining_task_time <= 1e-3:
return ClusterType.NONE
# Calculate remaining time until deadline
remaining_time = self.deadline - env.elapsed_seconds
# If running out of time, use ON_DEMAND to guarantee completion
if remaining_task_time + self.restart_overhead >= remaining_time:
return ClusterType.ON_DEMAND
# Greedy: use SPOT if available, otherwise wait
if has_spot:
return ClusterType.SPOT
else:
return ClusterType.NONE
@classmethod
def _from_args(cls, parser):
args, _ = parser.parse_known_args()
return cls(args)
"""
Evaluator — The evaluator runs the candidate strategy through a scheduling simulator driven by real spot-availability traces. get_program_path caches the candidate to a temp file (keyed by content, so repeated calls are free). run_simulation handles subprocess execution of the simulator and cost extraction. Each trace is tested across multiple job configurations (varying task duration, deadline tightness, and restart overhead).
ASI (Actionable Side Information): The side information includes (1) the full spot-availability pattern for the trace (e.g., "0.0-10.0:S | 10.0-15.0:X" — spot available for 10h then unavailable), (2) a timeline of the strategy's instance usage decisions (e.g., "0.0-5.0:S@R0[50%] | 5.0-8.0:OD@R0[100%]"), and (3) segment counts (SPOT vs ON_DEMAND vs restarts). This lets the LLM proposer see exactly when the strategy made suboptimal decisions — for instance, switching to expensive ON_DEMAND too early when spot was about to become available again.
from utils.simulation import (
FAILED_SCORE,
get_program_path, syntax_is_valid, syntax_failure_info,
run_simulation, simulation_failure_info, simulation_success_info,
)
def evaluate(candidate: dict, example: dict, **kwargs):
program_path = get_program_path(candidate["program"])
if not syntax_is_valid(program_path):
return FAILED_SCORE, syntax_failure_info(example)
success, cost, error, details = run_simulation(
program_path, example["trace_file"], example["config"]
)
if not success:
return FAILED_SCORE, simulation_failure_info(error, example)
score = -cost
return score, simulation_success_info(score, example, details)
Optimizer — Generalization mode with spot-availability traces split into training and validation sets. Each trace is evaluated across multiple deadline/overhead configurations, so the evolved strategy must handle both tight and relaxed deadlines. parallel=True with 128 workers enables fast evaluation across the large trace dataset.
from gepa.optimize_anything import optimize_anything, GEPAConfig, EngineConfig, ReflectionConfig
from utils.dataset import load_trace_dataset
from utils.lm import make_reflection_lm
# Load spot-availability traces split into train/val/test
splits = load_trace_dataset()
train_set, val_set = splits["train"], splits["val"]
result = optimize_anything(
seed_candidate={"program": SEED_PROGRAM},
evaluator=evaluate,
dataset=train_set,
valset=val_set,
objective="Optimize a cloud scheduling strategy for the 'Can't Be Late' problem. "
"Minimize cost while ensuring task completion before deadline.",
background="ClusterType.SPOT: ~$0.3/hr, cheap but preemptible at any time. "
"ClusterType.ON_DEMAND: ~$1/hr, guaranteed availability. "
"ClusterType.NONE: wait with no cost or progress. restart_overhead: "
"time penalty when switching instance types. The strategy MUST "
"ensure deadline completion (hard constraint).",
config=GEPAConfig(
engine=EngineConfig(max_metric_calls=100, parallel=True, max_workers=128),
reflection=ReflectionConfig(reflection_lm=make_reflection_lm("anthropic/claude-opus-4-5-20251101")),
),
)
Optimized artifact — The evolved strategy achieves 7.8% cost savings over the baseline. GEPA transformed the simple greedy heuristic into an adaptive strategy with: (1) state tracking for spot unavailability patterns, (2) overhead-aware switching decisions with break-even cost analysis, (3) graduated decision thresholds based on slack ratio (remaining buffer / task time), and (4) multi-factor logic that considers absolute slack, persistent unavailability, and remaining work size.
import math
from sky_spot.strategies.strategy import Strategy
from sky_spot.utils import ClusterType
class EvolveSingleRegionStrategy(Strategy):
NAME = 'evolve_single_region'
def __init__(self, args):
super().__init__(args)
self.spot_unavailable_count = 0
self.consecutive_short_spot_windows = 0
def reset(self, env, task):
super().reset(env, task)
self.spot_unavailable_count = 0
self.consecutive_short_spot_windows = 0
def _step(self, last_cluster_type: ClusterType, has_spot: bool) -> ClusterType:
env = self.env
# Task completion check
remaining_task_time = self.task_duration - sum(self.task_done_time)
if remaining_task_time <= 1e-3:
return ClusterType.NONE
# Calculate remaining time until deadline
remaining_time = self.deadline - env.elapsed_seconds
# Calculate the overhead we might incur for switching
switch_to_od_overhead = self.restart_overhead if last_cluster_type == ClusterType.SPOT else 0
switch_to_spot_overhead = self.restart_overhead if last_cluster_type == ClusterType.ON_DEMAND else 0
start_overhead = self.restart_overhead if last_cluster_type == ClusterType.NONE else 0
# Cost rates
spot_cost_rate = 0.3
on_demand_cost_rate = 1.0
# Critical deadline check: if we absolutely need ON_DEMAND to finish on time
effective_remaining_for_od = remaining_task_time + switch_to_od_overhead
if effective_remaining_for_od >= remaining_time - 0.5: # Small safety margin
return ClusterType.ON_DEMAND
# Calculate slack time (buffer we have beyond minimum required time)
min_time_needed = remaining_task_time + self.restart_overhead
slack = remaining_time - min_time_needed
# Track spot availability patterns
if not has_spot:
self.spot_unavailable_count += 1
else:
self.spot_unavailable_count = 0
if has_spot:
# Spot is available - but should we use it?
# If we're on ON_DEMAND and have tight deadline, consider staying to avoid restart
if last_cluster_type == ClusterType.ON_DEMAND:
# Calculate cost of switching to spot vs staying on OD
# Switching cost: overhead time at OD rate + potential future restart
switch_cost = switch_to_spot_overhead * on_demand_cost_rate + self.restart_overhead * on_demand_cost_rate
# Benefit of spot: savings per hour
savings_per_hour = on_demand_cost_rate - spot_cost_rate
# Need to run on spot long enough to recoup switch cost
break_even_hours = switch_cost / savings_per_hour if savings_per_hour > 0 else float('inf')
# If remaining work is less than break-even, stay on OD
if remaining_task_time < break_even_hours * 1.5:
return ClusterType.ON_DEMAND
# If slack is very tight, stay on OD to be safe
if slack < self.restart_overhead * 3:
return ClusterType.ON_DEMAND
# Use SPOT - it's available and either we're not on OD or switch is worthwhile
self.consecutive_short_spot_windows = 0
return ClusterType.SPOT
else:
# Spot not available - decide whether to wait or use ON_DEMAND
# If we're already on ON_DEMAND, definitely stay to avoid wasting restart
if last_cluster_type == ClusterType.ON_DEMAND:
return ClusterType.ON_DEMAND
# If we were on SPOT and it just became unavailable, we're now idle
# Decision: wait for spot or switch to ON_DEMAND?
# Calculate adaptive threshold based on multiple factors
slack_ratio = slack / max(remaining_task_time, 1e-6)
# Factor 1: Absolute slack threshold
# Need enough slack to handle potential wait + restart overhead
min_safe_slack = max(2.0, self.restart_overhead * 4)
# Factor 2: Consider how much work is left
# For small remaining tasks, ON_DEMAND cost isn't that high in absolute terms
od_cost_to_finish = remaining_task_time * on_demand_cost_rate
# Factor 3: Track persistent spot unavailability
# If spot has been unavailable for a while, less likely to come back soon
persistent_unavailable = self.spot_unavailable_count > 10
# Decision logic:
# Very tight deadline - must use ON_DEMAND
if slack < min_safe_slack or slack_ratio < 0.1:
return ClusterType.ON_DEMAND
# Moderately tight deadline with persistent unavailability
if slack_ratio < 0.25 and persistent_unavailable:
return ClusterType.ON_DEMAND
# Small remaining task where absolute cost difference is minimal
# But only if we have moderate slack pressure
if remaining_task_time < 3.0 and slack_ratio < 0.3:
return ClusterType.ON_DEMAND
# Tight deadline cases (less than 20% buffer)
if slack_ratio < 0.2:
# If we've been waiting and spot keeps not showing up, switch
if self.spot_unavailable_count > 5:
return ClusterType.ON_DEMAND
# Medium slack - be more patient but not infinitely
if slack_ratio < 0.4:
# After significant waiting, consider switching
if self.spot_unavailable_count > 20:
return ClusterType.ON_DEMAND
# Good slack available - wait for spot to save costs
return ClusterType.NONE
@classmethod
def _from_args(cls, parser):
args, _ = parser.parse_known_args()
return cls(args)
Agent Architecture Discovery (ARC-AGI)
Here, we tackle ARC-AGI1. This is a Generalization mode where the entire agent architecture is the artifact being optimized. The seed is a 10-line naive agent that makes a single LLM call; GEPA evolves it into a 170+ line multi-stage system with rule induction, code verification, iterative refinement, and structured fallbacks. Test accuracy improves from 32.5% to 89.5% on a public v1 test set.
Candidate — The seed candidate is a minimal 10-line agent that concatenates training examples into a single prompt and asks the LLM to predict outputs directly. It provides a starting template showing the solve() API.
SEED_AGENT = '''
import json, re
def solve(train_inputs, train_outputs, test_inputs, llm):
examples = "\\n".join(f"Input: {i}\\nOutput: {o}"
for i, o in zip(train_inputs, train_outputs))
response = llm(f"Solve an ARC AGI puzzle. Training:\\n{examples}\\n"
f"Predict outputs as JSON [[...]]:")
grids = [json.loads(g) for g in re.findall(r"\\[\\[.*?\\]\\]",
response.replace("\\n", ""))]
return {"train": grids[:len(train_inputs)],
"test": [[g] for g in grids[len(train_inputs):]]}
'''
Evaluator — The evaluator sandboxes the agent code, runs it on an ARC-AGI puzzle (providing training input/output pairs and test inputs), and returns rich ASI: training and test scores, execution errors, the actual grid examples, LLM costs, number of calls made, and all model outputs produced inside the agentic architecture. This lets the proposer see not just what the agent got wrong, but how it reasoned internally.
def evaluate(candidate, example):
result = run_agent(
agent_code=candidate,
train_in=example.train_in,
train_out=example.train_out,
test_in=example.test_in,
test_out=example.test_out or None,
model_id=LLM_MODEL,
max_llm_calls=MAX_LLM_CALLS,
)
llms = result["llms"]
score = result["test_score"]
return score, {
"score": score,
"problem_id": example.problem_id,
"agent_code": candidate,
"training_score": result["training_score"],
"test_score": result["test_score"],
"cost": llm.total_cost,
"error": result["error"],
"train_examples": result["train_examples"],
"test_examples": result["test_examples"],
**llms.get_traces(), # number of calls made, LLM costs, model outputs, etc.
}
Optimizer — This is Generalization mode with dataset for training and valset for validation. The agent must generalize to unseen testset puzzles, so just memorizing patterns from the training set won't help. parallel=True with max_workers=64 enables massive concurrent evaluation across puzzles. background provides domain knowledge about ARC puzzle structure. Gemini 3 Flash is used as both the reflection model and the agent's internal LLM. Note that using a stronger reflection model can find a even more effective artifact in general.
from gepa.optimize_anything import optimize_anything, GEPAConfig, EngineConfig, ReflectionConfig
from examples.arc_agi.utils import load_arc_dataset
train_set, val_set, test_set = load_arc_dataset()
result = optimize_anything(
seed_candidate={"agent_code": SEED_AGENT},
evaluator=evaluate,
dataset=train_set,
valset=val_set,
config=GEPAConfig(
engine=EngineConfig(max_candidate_proposals=40, parallel=True,
max_workers=64, cache_evaluation=True),
reflection=ReflectionConfig(
reflection_lm="openrouter/google/gemini-3-flash-preview",
),
),
objective="Evolve agent code to solve ARC-AGI puzzles. The agent receives "
"training input/output pairs and must predict test outputs.",
background="You are allowed to build an agent system with up to 10 LLM calls and total of $0.8~1.0 LLM cost per problem.",
)
Optimized artifact — Starting from a 10-line single-call agent, GEPA discovered a 4-stage pipeline on its own: Analyst (infer the rule), Developer (write a transform() function), Validator (run it on all training examples and iteratively debug), and Optimizer (assemble attempts with fallbacks). What's interesting is that the agent learned to generate code, execute it, check the output, and fix bugs in a loop. It also learned a dual-attempt strategy: try the code path first, fall back to direct LLM prediction if that fails.
import json
import re
import numpy as np
def solve(train_inputs, train_outputs, test_inputs, llm):
"""
ARC-AGI solver using a multi-stage reasoning and execution pipeline:
1. Analyst: Infers transformation logic and describes it.
2. Developer: Writes a Python function to implement the logic.
3. Validator: Tests the code against ALL training examples and iterates if it fails.
4. Optimizer: Uses the best-performing code or falls back to direct prediction via LLM.
"""
def format_grid(grid):
return json.dumps(grid)
training_exs = ""
for idx, (i, o) in enumerate(zip(train_inputs, train_outputs)):
training_exs += f"Example {idx}:\nInput: {format_grid(i)}\nOutput: {format_grid(o)}\n\n"
# Stage 1: Initial Programming Attempt
programmer_prompt = f"""You are an absolute expert programmer and ARC-AGI solver.
Analyze these training examples and identify the transformation rule.
Consider: object properties (color, shape, position), grid symmetry, relative movement, and color mapping.
{training_exs}
Task:
Write a Python function `transform(grid)` using numpy.
The function should return the transformed grid as a list of lists.
Ensure your code is robust and handles grid boundaries.
```python
import numpy as np
def transform(grid):
grid = np.array(grid)
# logic here
return grid.tolist()
```
"""
response = llm(programmer_prompt)
def extract_code(text):
code_match = re.search(r"```python\s*(.*?)\s*```", text, re.DOTALL)
return code_match.group(1) if code_match else ""
code = extract_code(response)
# Stage 2: Code Validation and Auto-Correction
max_fix_attempts = 2
best_code = code
for _ in range(max_fix_attempts):
success_count = 0
execution_feedback = ""
if not best_code:
break
try:
# Create a namespace for the function
namespace = {}
exec("import numpy as np", namespace)
exec(best_code, namespace)
transform_fn = namespace.get('transform')
if not transform_fn:
raise Exception("Function 'transform' not found in code.")
for i, (in_grid, out_grid) in enumerate(zip(train_inputs, train_outputs)):
pred = transform_fn(in_grid)
if pred == out_grid:
success_count += 1
else:
execution_feedback += f"Example {i} failed. Expected {format_grid(out_grid)}, but got {format_grid(pred)}.\n"
except Exception as e:
execution_feedback = f"Error during execution: {str(e)}"
if success_count == len(train_inputs):
break
else:
# Code failed training; ask the LLM to fix it using feedback
fixer_prompt = f"""The previous code failed validation.
Rule Analysis: {response}
Current Code:
```python
{best_code}
```
Validation Feedback:
{execution_feedback}
Correct the logic based on the feedback. Ensure it passes ALL training examples.
{training_exs}
Only provide the corrected ```python block.
"""
response = llm(fixer_prompt)
best_code = extract_code(response)
# Stage 3: Execution and Fallback Generation
final_test_results = []
code_functional = False
# Attempt to execute best_code on test inputs
try:
namespace = {}
exec("import numpy as np", namespace)
exec(best_code, namespace)
transform_fn = namespace['transform']
code_test_outputs = []
for t_in in test_inputs:
code_test_outputs.append(transform_fn(t_in))
code_functional = True
except:
code_functional = False
# Stage 4: Logical Reasoning Fallback (for the 2nd attempt or if code fails)
fallback_prompt = f"""The pattern is based on these examples:
{training_exs}
Predict the output for these test inputs:
{[format_grid(t) for t in test_inputs]}
Respond ONLY with a JSON list of grids:
```json
[[grid1], [grid2], ...]
```
"""
fallback_response = llm(fallback_prompt)
def extract_json_grids(text):
json_match = re.search(r"```json\s*(.*?)\s*```", text, re.DOTALL)
if json_match:
try:
data = json.loads(json_match.group(1))
return data if isinstance(data, list) else []
except: pass
return []
fallback_grids = extract_json_grids(fallback_response)
# Assemble 2 attempts for each test input
for idx, t_in in enumerate(test_inputs):
attempts = []
# 1st Attempt: Code output (if functional) or first fallback
if code_functional and idx < len(code_test_outputs):
attempts.append(code_test_outputs[idx])
elif idx < len(fallback_grids):
attempts.append(fallback_grids[idx])
else:
attempts.append(t_in) # Safety
# 2nd Attempt: Top fallback or a modified version of the first
if idx < len(fallback_grids) and fallback_grids[idx] not in attempts:
attempts.append(fallback_grids[idx])
# Padding to 2 attempts
while len(attempts) < 2:
attempts.append(attempts[0])
final_test_results.append(attempts[:2])
return {
"train": [t for t in train_outputs],
"test": final_test_results
}
Prompt Optimization (AIME Mathematics)
This is Generalization mode for prompt optimization on AIME 2025 math competition problems. GEPA improves accuracy from 46.67% to 60.00% through prompt refinement alone.
Candidate — The seed is a minimal, generic math instruction. GEPA will evolve this into a detailed problem-solving strategy with specific heuristics for competition-level mathematics.
SEED_PROMPT = "Solve the math problem carefully. Break down the steps and provide the final answer as a single number."
Evaluator — The evaluator runs the LLM with the candidate prompt on an AIME problem, checks whether the predicted answer matches the ground truth, and returns ASI including the problem statement, written solutions, the model's reasoning chain, and its final answer, helping the LLM generate a more systematic prompt.
from examples.aime_math.eval import run_llm, math_metric
def evaluate(candidate: str, example) -> tuple[float, SideInfo]:
"""Evaluate a candidate on a single example."""
prediction = run_llm(example, candidate)
score, feedback = math_metric(example, prediction)
side_info = {
"score": score,
"input": example.input,
"prompt": candidate,
"output": prediction.answer,
"reasoning": getattr(prediction, "reasoning", ""),
"execution_feedback": feedback,
}
return score, side_info
Optimizer — This is Generalization mode with both a dataset (training set) and valset (validation set), so the optimized prompt must generalize to unseen math problems, not just memorize solutions. parallel=True with max_workers=32 enables concurrent evaluation across problems. cache_evaluation=True avoids re-evaluating the same prompt on the same problem.
from gepa.optimize_anything import optimize_anything, GEPAConfig, EngineConfig
from examples.aime_math.dataset import load_math_dataset()
trainset, valset, testset = load_math_dataset()
result = optimize_anything(
seed_candidate=SEED_PROMPT,
evaluator=evaluate,
dataset=trainset,
valset=valset,
config=GEPAConfig(
engine=EngineConfig(max_metric_calls=600, parallel=True, max_workers=32, cache_evaluation=True),
),
)
Optimized artifact — From a single generic sentence, GEPA evolved a structured reasoning framework with explicit heuristics for competition math: restating the problem, defining variables and constraints upfront, justifying each algebraic step, naming theorems before applying them, and backtracking cleanly from dead ends. The prompt also enforces discipline — preferring exact algebra over approximation, testing candidate values only after deriving tight constraints, and isolating the final answer on its own line.
Solve the math problem carefully and thoroughly. Your goal is to produce a correct,
well‑structured solution that leads unambiguously to the requested final result.
Follow these rules:
1. Restate the problem briefly in your own words.
2. Set up notation and equations cleanly before manipulating them.
- Define variables explicitly.
- State all constraints (e.g., integrality, ranges, geometric conditions) before
using them.
3. Show clear, logically ordered reasoning.
- Justify each important algebraic or geometric step.
- When you split into cases, state why each case is necessary and what assumptions
define it.
- If you invoke a known theorem (e.g., Ptolemy, Power of a Point, similarity, Vieta),
name it and show exactly how it applies in this context.
4. Handle dead ends correctly.
- If you realize a line of reasoning leads to a contradiction or dead end, explicitly
say so.
- Then restart from the last correct point; do not guess or hand‑wave.
5. Keep the reasoning focused and minimal while still being rigorous.
- Avoid unnecessary numerical approximations if an exact approach is available.
- Do not approximate exact values unless the problem explicitly asks for a decimal.
- Prefer algebraic or structural arguments over trial‑and‑error or random guessing.
- You may test candidate values only after deriving strong constraints that sharply
limit the possibilities.
6. At the end, clearly isolate the answer:
- Provide the final answer as a single number or expression on its own line.
- Do not include any extra words, symbols, or explanation on that final line.
CUDA Kernel Generation (KernelBench)
We tackle KernelBench, a benchmark of PyTorch neural-network operations where the goal is to generate a custom CUDA kernel with C++ extensions that is both correct and faster than the reference PyTorch implementation. A single shared prompt is optimized across multiple problems so that insights from one kernel transfer to others.
Candidate — The seed candidate is a minimal one-line instruction prompt that tells the LLM to generate a CUDA kernel replacement. It provides just enough structure to define the expected output format (a complete Python file using load_inline).
SEED_PROMPT = """Write a CUDA kernel to replace the given PyTorch model for better performance.
Output a complete Python file with ModelNew using load_inline. Include all imports."""
Evaluator — The evaluator compiles the LLM-generated kernel, benchmarks it against a baseline PyTorch implementation for the given problem, and returns rich Actionable Side Information (ASI) with the generated code, CUDA documentation consulted during generation, runtime measurements, speedup ratios, correctness status, and detailed error feedback when compilation or validation fails.
def evaluate(candidate, example):
baseline = baselines[example.problem_id]
code, cuda_docs, eval_result = run_kernel(
candidate, example.ref_arch, lm, predictor
)
score = compute_score(eval_result, baseline)
runtime = eval_result.get("PerformanceStatsMean")
return score, {
"score": score,
"problem_id": example.problem_id,
"level": example.level,
"baseline_ms": baseline,
"code": code,
"cuda_docs": cuda_docs,
"cuda_docs_post": post_docs,
"runtime_ms": runtime,
"speedup": baseline / runtime if runtime else None,
"compiled_successfully": eval_result.get("CompilationSucceeded", False),
"ran_without_error": eval_result.get("NoRuntimeErrorDuringCorrectnessCheck", False),
"output_values_correct": eval_result.get("CorrectnessSucceeded", False),
"error_type": eval_result.get("ErrorType"),
"error_detail": eval_result.get("ErrorDetail"),
}
Optimizer — This is a Multi-Task Search: a dataset of multiple KernelBench problems means insights from optimizing one kernel transfer to others via shared prompt improvements. RefinerConfig() enables automatic per-evaluation refinement — after each evaluation, an LLM proposes a refined candidate based on the feedback. background is used to inject CUDA best practices and constraints into the optimization loop.
from gepa.optimize_anything import optimize_anything, GEPAConfig, EngineConfig, RefinerConfig
optimize_anything(
seed_candidate=SEED_PROMPT,
evaluator=evaluate,
dataset=dataset, # KernelBench problems
config=GEPAConfig(
engine=EngineConfig(max_metric_calls=2000, cache_evaluation=True),
refiner=RefinerConfig(), # auto-refine after each evaluation
),
objective="Generate an LLM prompt that produces fast, correct CUDA kernels outperforming PyTorch baselines.",
background=BACKGROUND,
)
Optimized artifact — Below is the best kernel discovered for a LayerNorm CUDA kernel, which led to 3.32x speedup. It loads four numbers at a time from GPU memory instead of one (float4 vectorization), cutting memory transaction overhead by roughly 4x. It splits the work into two clean passes: first compute the mean and variance, then normalize. This lets the GPU optimize each step independently rather than juggling both at once. Finally, threads share their partial sums using direct register-to-register transfers (warp shuffles), skipping the usual detour through slower shared memory.
import math
import torch
import torch.nn as nn
from torch.utils.cpp_extension import load_inline
_kb_layernorm_mod = None
def _get_kb_layernorm_mod():
global _kb_layernorm_mod
if _kb_layernorm_mod is not None:
return _kb_layernorm_mod
if not torch.cuda.is_available():
return None
try:
_kb_layernorm_mod = load_inline(
name="kb_layernorm_vec",
cpp_sources=r"""
#include <torch/extension.h>
#include <vector>
// Forward declaration only (implementation in CUDA file)
torch::Tensor layernorm_forward(torch::Tensor input,
torch::Tensor weight,
torch::Tensor bias,
double eps,
std::vector<int64_t> normalized_shape);
""",
cuda_sources=r"""
#include <torch/extension.h>
#include <cuda_runtime.h>
#include <ATen/cuda/CUDAContext.h>
#include <stdint.h>
#include <vector>
#ifndef KB_WARP_SIZE
#define KB_WARP_SIZE 32
#endif
__inline__ __device__ float warp_sum(float v) {
unsigned mask = 0xffffffffu;
#pragma unroll
for (int offset = KB_WARP_SIZE / 2; offset > 0; offset >>= 1) {
v += __shfl_down_sync(mask, v, offset);
}
return v;
}
// Kernel: compute per-row mean and inv_std for a [B, M] matrix
__global__ void rowwise_stats_kernel(const float* __restrict__ x,
float* __restrict__ mean,
float* __restrict__ inv_std,
int64_t B,
int64_t M,
float eps) {
int64_t row = blockIdx.x;
if (row >= B) return;
const float* row_ptr = x + row * M;
bool use_vec4 = ((reinterpret_cast<uintptr_t>(row_ptr) & 0xF) == 0) && (M % 4 == 0);
float thread_sum = 0.0f;
float thread_sumsq = 0.0f;
if (use_vec4) {
const float4* row_v4 = reinterpret_cast<const float4*>(row_ptr);
int64_t M4 = M >> 2;
for (int64_t j = threadIdx.x; j < M4; j += blockDim.x) {
float4 v = row_v4[j];
thread_sum += (v.x + v.y + v.z + v.w);
thread_sumsq += (v.x * v.x + v.y * v.y + v.z * v.z + v.w * v.w);
}
} else {
for (int64_t j = threadIdx.x; j < M; j += blockDim.x) {
float v = row_ptr[j];
thread_sum += v;
thread_sumsq += v * v;
}
}
// Reduce within warp
thread_sum = warp_sum(thread_sum);
thread_sumsq = warp_sum(thread_sumsq);
// Shared memory to collect per-warp results
int warp_id = threadIdx.x / KB_WARP_SIZE;
int lane = threadIdx.x % KB_WARP_SIZE;
int warp_count = (blockDim.x + KB_WARP_SIZE - 1) / KB_WARP_SIZE;
extern __shared__ float smem[];
float* smem_sum = smem;
float* smem_sumsq = smem + warp_count;
if (lane == 0) {
smem_sum[warp_id] = thread_sum;
smem_sumsq[warp_id] = thread_sumsq;
}
__syncthreads();
if (warp_id == 0) {
float val_sum = (lane < warp_count) ? smem_sum[lane] : 0.0f;
float val_sumsq = (lane < warp_count) ? smem_sumsq[lane] : 0.0f;
val_sum = warp_sum(val_sum);
val_sumsq = warp_sum(val_sumsq);
if (lane == 0) {
float mean_r = val_sum / static_cast<float>(M);
float var_r = val_sumsq / static_cast<float>(M) - mean_r * mean_r;
var_r = var_r < 0.0f ? 0.0f : var_r; // numerical guard
float inv = rsqrtf(var_r + eps);
mean[row] = mean_r;
inv_std[row] = inv;
}
}
}
// Kernel: normalize and apply affine per row
__global__ void layernorm_affine_kernel(const float* __restrict__ x,
const float* __restrict__ weight,
const float* __restrict__ bias,
const float* __restrict__ mean,
const float* __restrict__ inv_std,
float* __restrict__ y,
int64_t B,
int64_t M) {
int64_t row = blockIdx.x;
if (row >= B) return;
const float* row_x = x + row * M;
float* row_y = y + row * M;
float m = mean[row];
float inv = inv_std[row];
bool use_vec4 = ((reinterpret_cast<uintptr_t>(row_x) & 0xF) == 0) &&
((reinterpret_cast<uintptr_t>(weight) & 0xF) == 0) &&
((reinterpret_cast<uintptr_t>(bias) & 0xF) == 0) &&
((reinterpret_cast<uintptr_t>(row_y) & 0xF) == 0) &&
(M % 4 == 0);
if (use_vec4) {
const float4* x_v4 = reinterpret_cast<const float4*>(row_x);
const float4* w_v4 = reinterpret_cast<const float4*>(weight);
const float4* b_v4 = reinterpret_cast<const float4*>(bias);
float4* y_v4 = reinterpret_cast<float4*>(row_y);
int64_t M4 = M >> 2;
for (int64_t j = threadIdx.x; j < M4; j += blockDim.x) {
float4 xv = x_v4[j];
float4 wv = w_v4[j];
float4 bv = b_v4[j];
float4 out;
out.x = ((xv.x - m) * inv) * wv.x + bv.x;
out.y = ((xv.y - m) * inv) * wv.y + bv.y;
out.z = ((xv.z - m) * inv) * wv.z + bv.z;
out.w = ((xv.w - m) * inv) * wv.w + bv.w;
y_v4[j] = out;
}
} else {
for (int64_t j = threadIdx.x; j < M; j += blockDim.x) {
float xv = row_x[j];
float out = ((xv - m) * inv) * weight[j] + bias[j];
row_y[j] = out;
}
}
}
static inline int next_pow2_int(int v) {
v--;
v |= v >> 1;
v |= v >> 2;
v |= v >> 4;
v |= v >> 8;
v |= v >> 16;
v++;
return v;
}
// Host function exposed to Python
torch::Tensor layernorm_forward(torch::Tensor input,
torch::Tensor weight,
torch::Tensor bias,
double eps,
std::vector<int64_t> normalized_shape) {
TORCH_CHECK(input.is_cuda(), "layernorm_forward: input must be CUDA");
TORCH_CHECK(weight.is_cuda(), "layernorm_forward: weight must be CUDA");
TORCH_CHECK(bias.is_cuda(), "layernorm_forward: bias must be CUDA");
TORCH_CHECK(input.scalar_type() == at::kFloat, "layernorm_forward: only float32 supported");
TORCH_CHECK(weight.scalar_type() == at::kFloat, "layernorm_forward: weight must be float32");
TORCH_CHECK(bias.scalar_type() == at::kFloat, "layernorm_forward: bias must be float32");
TORCH_CHECK(!normalized_shape.empty(), "layernorm_forward: normalized_shape must be non-empty");
TORCH_CHECK(input.dim() >= static_cast<int64_t>(normalized_shape.size()),
"layernorm_forward: input.dim < normalized_shape.size");
// Validate trailing dimensions match normalized_shape
auto in_sizes = input.sizes();
int64_t k = static_cast<int64_t>(normalized_shape.size());
for (int64_t i = 0; i < k; ++i) {
TORCH_CHECK(in_sizes[in_sizes.size() - k + i] == normalized_shape[i],
"layernorm_forward: input trailing dims must match normalized_shape");
}
int64_t M = 1;
for (int64_t d : normalized_shape) {
TORCH_CHECK(d > 0, "layernorm_forward: normalized_shape dims must be > 0");
M *= d;
}
TORCH_CHECK(weight.numel() == M, "layernorm_forward: weight numel mismatch");
TORCH_CHECK(bias.numel() == M, "layernorm_forward: bias numel mismatch");
auto input_c = input.contiguous();
int64_t total = input_c.numel();
TORCH_CHECK(total % M == 0, "layernorm_forward: input numel not divisible by M");
int64_t B = total / M;
auto x2d = input_c.view({B, M});
auto w1d = weight.contiguous().view({M});
auto b1d = bias.contiguous().view({M});
auto options = input.options().dtype(at::kFloat);
auto out2d = at::empty_like(x2d, options);
auto mean = at::empty({B}, options);
auto inv_std = at::empty({B}, options);
// Choose threads per block: power-of-two between 256 and 1024, not exceeding M
int t_candidate = (int)std::min<int64_t>(1024, (int64_t)next_pow2_int((int)std::min<int64_t>(M, 1024)));
int threads = t_candidate < 256 ? 256 : t_candidate;
int blocks = (int)B;
int warp_count = (threads + KB_WARP_SIZE - 1) / KB_WARP_SIZE;
size_t shmem = sizeof(float) * 2 * warp_count;
rowwise_stats_kernel<<<blocks, threads, shmem, at::cuda::getCurrentCUDAStream()>>>(
x2d.data_ptr<float>(),
mean.data_ptr<float>(),
inv_std.data_ptr<float>(),
B, M, static_cast<float>(eps));
layernorm_affine_kernel<<<blocks, threads, 0, at::cuda::getCurrentCUDAStream()>>>(
x2d.data_ptr<float>(),
w1d.data_ptr<float>(),
b1d.data_ptr<float>(),
mean.data_ptr<float>(),
inv_std.data_ptr<float>(),
out2d.data_ptr<float>(),
B, M
);
auto out = out2d.view(input.sizes());
return out;
}
""",
functions=["layernorm_forward"],
with_cuda=True,
extra_cuda_cflags=["-O3"],
extra_cflags=["-O3"],
verbose=False,
)
except Exception:
_kb_layernorm_mod = None
return _kb_layernorm_mod
class ModelNew(nn.Module):
"""
Drop-in replacement for Model that accelerates LayerNorm forward
with a CUDA extension when beneficial, otherwise falls back to PyTorch.
"""
def __init__(self, normalized_shape: tuple):
super(ModelNew, self).__init__()
self.ln = nn.LayerNorm(normalized_shape=normalized_shape)
# Optionally warm up loader (will only build if CUDA is available)
_get_kb_layernorm_mod()
def forward(self, x: torch.Tensor) -> torch.Tensor:
# Only use custom CUDA path when:
# - input is CUDA float32
# - extension is available
# - sufficiently large normalized dimension for payoff
norm_shape = tuple(self.ln.normalized_shape)
M = 1
for d in norm_shape:
M *= int(d)
kb_mod = _get_kb_layernorm_mod()
use_custom = (
kb_mod is not None
and x.is_cuda
and x.dtype == torch.float32
and M >= 512
and x.numel() >= 100000
)
if use_custom:
if getattr(self.ln, "elementwise_affine", True):
weight = self.ln.weight
bias = self.ln.bias
else:
# No affine: emulate with ones/zeros on the correct device
weight = torch.ones(norm_shape, device=x.device, dtype=torch.float32)
bias = torch.zeros(norm_shape, device=x.device, dtype=torch.float32)
return kb_mod.layernorm_forward(
x, weight, bias, float(self.ln.eps), list(norm_shape)
)
# Fallback to PyTorch reference
return self.ln(x)
Circle Packing (n=26)
We tackle circle packing, a classic combinatorial optimization problem benchmarked by many LLM-based evolution algorithms including ShinkaEvolve, OpenEvolve, and AlphaEvolve. The goal is to pack n=26 circles within a unit square, maximizing the sum of radii.
Candidate — We adopt a seed candidate from ShinkaEvolve's code. It places circles in concentric rings: one at the center, a ring of 8 around it, and an outer ring for the remaining circles. It clips positions into the unit square and greedily shrinks radii until no circle overlaps another or breaches a boundary.
SEED_CODE = '''
import numpy as np
def main(timeout, current_best_solution):
"""
Circle packing optimization.
Args:
timeout: Time budget in seconds
current_best_solution: Previous best circles array (n, 3) or None
Returns:
dict with 'circles' (n, 3) array and 'all_scores' list
"""
n = 26
# Use current_best_solution if provided, otherwise start fresh
if current_best_solution is not None:
circles = current_best_solution.copy()
else:
# Simple initial placement
centers = np.zeros((n, 2))
# Center circle
centers[0] = [0.5, 0.5]
# Ring of 8 around center
for i in range(min(8, n - 1)):
angle = 2 * np.pi * i / 8
centers[i + 1] = [0.5 + 0.3 * np.cos(angle), 0.5 + 0.3 * np.sin(angle)]
# Outer ring for remaining
if n > 9:
remaining = n - 9
for i in range(remaining):
angle = 2 * np.pi * i / remaining
centers[i + 9] = [0.5 + 0.7 * np.cos(angle), 0.5 + 0.7 * np.sin(angle)]
centers = np.clip(centers, 0.01, 0.99)
radii = compute_max_radii(centers)
circles = np.hstack([centers, radii.reshape(-1, 1)])
score = float(np.sum(circles[:, 2]))
return {'circles': circles, 'all_scores': [score]}
def compute_max_radii(centers):
"""Compute maximum radii that don't overlap and stay in unit square."""
n = centers.shape[0]
radii = np.ones(n)
# Limit by distance to borders
for i in range(n):
x, y = centers[i]
radii[i] = min(x, y, 1 - x, 1 - y)
# Limit by distance to other circles
for i in range(n):
for j in range(i + 1, n):
dist = np.sqrt(np.sum((centers[i] - centers[j]) ** 2))
if radii[i] + radii[j] > dist:
scale = dist / (radii[i] + radii[j])
radii[i] *= scale
radii[j] *= scale
return radii
'''
Evaluator — The evaluator sandboxes the proposed code, runs it with a 600-second timeout, validates circles against geometric constraints (no overlaps, all within the unit square), and returns rich ASI with circle positions, multiple metrics derived from evaluation trajectory, validation details, stdout/stderr so the LLM understands which geometric constraints are binding. The extract_best_circles(opt_state) helper warm-starts each new proposal with the best circles discovered so far.
from examples.circle_packing.utils import extract_best_circles, execute_code
def evaluate(candidate, opt_state):
warm_start = extract_best_circles(opt_state)
result = execute_code(candidate, 600, warm_start)
circles = result["circles"]
score = result["validation_details"]["sum_radii"]
metrics = compute_multiple_metrics(result["all_scores"])
side_info = {
"scores": {"sum_radii": score},
"metrics": metrics, # mean, min, max, EMA1, EMA2 of the circles explored by this candidate
"code": candidate,
"circles": circles,
"stdout": result.get("stdout", ""),
"error": result.get("error"),
"traceback": result.get("traceback"),
"validation_details": result.get("validation_details"),
}
return score, side_info
Optimizer — This is a Single-Task Search with no dataset. frontier_type="objective" tracks the Pareto frontier per objective metric (e.g., sum_radii) rather than per dataset example.
RefinerConfig() injects a refiner_prompt into a candidate dictionary to add an inner-loop refinement step after each evaluation.
A Refiner LLM reads the feedback and proposes an improved candidate.
GEPA keeps whichever is better, and the refiner's own prompt is co-evolved alongside the candidate so refinement quality improves over time.
Combined with frontier_type="objective", the RefinerConfig() doubles the pareto metrics: the original candidates' metrics + the refiner's metrics.
from gepa.optimize_anything import optimize_anything, GEPAConfig, EngineConfig, ReflectionConfig
optimize_anything(
seed_candidate=SEED_CODE,
evaluator=evaluate,
config=GEPAConfig(
engine=EngineConfig(max_metric_calls=150, cache_evaluation=True, frontier_type="objective"),
reflection=ReflectionConfig(reflection_lm="openai/gpt-5"),
refiner=RefinerConfig()
),
objective="Optimize circle packing code to maximize sum of circle radii "
"within a unit square for N=26 circles.",
)
Optimized artifact — From a 75-line concentric-ring heuristic, GEPA evolved a 900+ line bilevel optimizer that formulates packing as an LP over radii and uses dual variables to derive exact gradients for L-BFGS-B over center positions. It layers SLP with adaptive trust regions, CMA-ES for evolutionary exploration, and diverse seeding strategies (hexagonal grid, farthest-point insertion, corner spokes, edge rings). The result scores 2.63598+, beating AlphaEvolve's 2.6358.
import numpy as np
import time
def main(timeout, current_best_solution):
"""
Breakthrough optimizer (refined): Bilevel L-BFGS with exact LP sensitivities + SLP block boosts + CMA/Evolution fallback
- Uses LP over radii with dual-based gradient for centers (bilevel).
- L-BFGS-B over centers, with proper best-tracking inside objective.
- Block SLP trust-region boosts on worst circles.
- Aggressive relocation of worst circles to edges/corners.
- Multiple diverse seeding + optional CMA-ES and evolutionary exploration.
- Minor performance/robustness adjustments based on evaluation.
"""
n = 26
start_time = time.time()
time_budget = max(1.0, float(timeout))
rng = np.random.default_rng(20260124)
all_scores = []
eps = 1e-9
r_min = 1e-12
def now():
return time.time()
def time_left():
return time_budget - (now() - start_time)
def clamp_centers(centers):
return np.clip(centers, eps, 1.0 - eps)
# Precompute all unordered pairs (i<j)
pairs = np.array([(i, j) for i in range(n) for j in range(i + 1, n)], dtype=int)
m_pairs = pairs.shape[0]
def pairwise_diff(centers):
"""Vectorized pairwise differences and unit vectors."""
idx_i = pairs[:, 0]
idx_j = pairs[:, 1]
diff = centers[idx_i] - centers[idx_j]
d = np.sqrt(np.maximum(np.sum(diff * diff, axis=1), 1e-18))
u = (diff.T / d).T
return diff, d, u
def boundary_limits(centers):
x = centers[:, 0]
y = centers[:, 1]
return np.minimum(np.minimum(x, 1.0 - x), np.minimum(y, 1.0 - y))
def score_from_radii(r):
return float(np.sum(r))
# Check SciPy availability once
scipy_available = True
try:
from scipy.optimize import linprog
except Exception:
scipy_available = False
# LP for radii given centers (exact); optionally returns duals for A_ub x <= b
def solve_radii_lp(centers, need_duals=False):
if not scipy_available:
# Fallback: feasible shrink
b = boundary_limits(centers)
r = np.minimum(b, 0.5)
r = np.maximum(r, r_min)
for _ in range(2000):
changed = False
for (i, j) in pairs:
dij = np.linalg.norm(centers[i] - centers[j])
s = r[i] + r[j]
if s > dij:
excess = s - dij
dec = 0.5 * excess
ni = max(r_min, r[i] - dec)
nj = max(r_min, r[j] - dec)
if ni != r[i] or nj != r[j]:
r[i] = ni
r[j] = nj
changed = True
if not changed:
break
r = np.minimum(r, boundary_limits(centers))
r = np.maximum(r, r_min)
return r, True, {'dual': None}
x = centers[:, 0]
y = centers[:, 1]
_, d, _ = pairwise_diff(centers)
num_vars = n
rows = 4 * n + m_pairs
A_ub = np.zeros((rows, num_vars), dtype=float)
b_ub = np.zeros(rows, dtype=float)
# Boundary constraints
for i in range(n):
A_ub[4 * i + 0, i] = 1.0; b_ub[4 * i + 0] = x[i]
A_ub[4 * i + 1, i] = 1.0; b_ub[4 * i + 1] = 1.0 - x[i]
A_ub[4 * i + 2, i] = 1.0; b_ub[4 * i + 2] = y[i]
A_ub[4 * i + 3, i] = 1.0; b_ub[4 * i + 3] = 1.0 - y[i]
# Pairwise constraints
base = 4 * n
for k, (i, j) in enumerate(pairs):
A_ub[base + k, i] = 1.0
A_ub[base + k, j] = 1.0
b_ub[base + k] = d[k]
c_obj = -np.ones(num_vars, dtype=float)
bounds = [(r_min, None)] * n
dual = None
try:
res = linprog(c_obj, A_ub=A_ub, b_ub=b_ub, bounds=bounds, method='highs')
if getattr(res, "success", False) and res.x is not None:
r = np.array(res.x, dtype=float)
r = np.minimum(r, boundary_limits(centers))
r = np.maximum(r, r_min)
if need_duals:
try:
ine = getattr(res, "ineqlin", None)
if ine is not None and hasattr(ine, "marginals") and ine.marginals is not None:
dual = np.array(ine.marginals, dtype=float)
else:
dual = None
except Exception:
dual = None
return r, True, {'dual': dual}
else:
b = boundary_limits(centers)
r = np.maximum(np.minimum(b, 0.5), r_min)
return r, False, {'dual': None}
except Exception:
b = boundary_limits(centers)
r = np.maximum(np.minimum(b, 0.5), r_min)
return r, False, {'dual': None}
# Compute gradient wrt centers from LP dual multipliers (sensitivity of optimal value)
def gradient_from_duals(centers, dual_vec):
g = np.zeros((n, 2), dtype=float)
if dual_vec is None or dual_vec.shape[0] != (4 * n + m_pairs):
return g
# Boundary contributions
for i in range(n):
aL = dual_vec[4 * i + 0]
aR = dual_vec[4 * i + 1]
aB = dual_vec[4 * i + 2]
aT = dual_vec[4 * i + 3]
g[i, 0] += (aL - aR)
g[i, 1] += (aB - aT)
# Pairwise distance contributions
base = 4 * n
_, _, u = pairwise_diff(centers)
for k, (i, j) in enumerate(pairs):
lam = dual_vec[base + k]
if lam != 0.0:
ux, uy = u[k, 0], u[k, 1]
g[i, 0] += lam * ux
g[i, 1] += lam * uy
g[j, 0] -= lam * ux
g[j, 1] -= lam * uy
return g
# SLP step (trust-region linearization for dx, dy and radii)
def slp_step(centers, delta, move_mask=None):
if not scipy_available:
return None, None, None, False
x0 = centers[:, 0]
y0 = centers[:, 1]
_, d, u = pairwise_diff(centers)
var_count = 3 * n
rows = 4 * n + m_pairs
A_ub = np.zeros((rows, var_count), dtype=float)
b_ub = np.zeros(rows, dtype=float)
r_idx = np.arange(n)
dx_idx = n + np.arange(n)
dy_idx = 2 * n + np.arange(n)
bounds = [None] * var_count
for i in range(n):
bounds[r_idx[i]] = (r_min, None)
for i in range(n):
if move_mask is not None and not move_mask[i]:
lb_dx, ub_dx = 0.0, 0.0
lb_dy, ub_dy = 0.0, 0.0
else:
lb_dx = max(-delta, -x0[i] + eps)
ub_dx = min(delta, 1.0 - x0[i] - eps)
lb_dy = max(-delta, -y0[i] + eps)
ub_dy = min(delta, 1.0 - y0[i] - eps)
if lb_dx > ub_dx:
lb_dx = ub_dx = 0.0
if lb_dy > ub_dy:
lb_dy = ub_dy = 0.0
bounds[dx_idx[i]] = (lb_dx, ub_dx)
bounds[dy_idx[i]] = (lb_dy, ub_dy)
# Boundary linear constraints
for i in range(n):
row = 4 * i
A_ub[row, r_idx[i]] = 1.0; A_ub[row, dx_idx[i]] = -1.0; b_ub[row] = x0[i]
A_ub[row + 1, r_idx[i]] = 1.0; A_ub[row + 1, dx_idx[i]] = +1.0; b_ub[row + 1] = 1.0 - x0[i]
A_ub[row + 2, r_idx[i]] = 1.0; A_ub[row + 2, dy_idx[i]] = -1.0; b_ub[row + 2] = y0[i]
A_ub[row + 3, r_idx[i]] = 1.0; A_ub[row + 3, dy_idx[i]] = +1.0; b_ub[row + 3] = 1.0 - y0[i]
# Pairwise linearized constraints (first-order)
base = 4 * n
for k, (i, j) in enumerate(pairs):
ux, uy = u[k, 0], u[k, 1]
row = base + k
A_ub[row, r_idx[i]] += 1.0
A_ub[row, r_idx[j]] += 1.0
A_ub[row, dx_idx[i]] += -ux
A_ub[row, dx_idx[j]] += +ux
A_ub[row, dy_idx[i]] += -uy
A_ub[row, dy_idx[j]] += +uy
b_ub[row] = d[k]
c_obj = np.zeros(var_count, dtype=float)
c_obj[:n] = -1.0 # maximize sum r
try:
res = linprog(c_obj, A_ub=A_ub, b_ub=b_ub, bounds=bounds, method='highs')
if getattr(res, "success", False) and res.x is not None:
sol = np.array(res.x, dtype=float)
r_lin = sol[:n]
dx = sol[n:2 * n]
dy = sol[2 * n:3 * n]
return dx, dy, r_lin, True
else:
return None, None, None, False
except Exception:
return None, None, None, False
def polish_slp(centers_init, max_outer=80, delta0=0.08, move_mask=None):
centers = clamp_centers(centers_init.copy())
r, ok, _ = solve_radii_lp(centers, need_duals=False)
if not ok:
return centers, r, score_from_radii(r)
best_c = centers.copy()
best_r = r.copy()
best_score = score_from_radii(r)
delta = delta0
for _ in range(max_outer):
if time_left() < 0.05:
break
dx, dy, r_lin, ok_lin = slp_step(centers, delta, move_mask=move_mask)
if not ok_lin:
delta *= 0.5
if delta < 1e-4:
break
continue
c_try = clamp_centers(centers + np.stack([dx, dy], axis=1))
r_try, ok_r, _ = solve_radii_lp(c_try, need_duals=False)
if not ok_r:
delta *= 0.7
continue
sc = score_from_radii(r_try)
if sc > best_score + 1e-12:
centers = c_try
best_c = c_try.copy()
best_r = r_try.copy()
best_score = sc
delta = min(0.25, delta * 1.25)
all_scores.append(best_score)
else:
delta *= 0.7
if delta < 1e-4:
break
return best_c, best_r, best_score
# Block SLP boosts: focus moves on worst circles and high-gradient ones
def block_slp_boost(centers_init, rounds=4, k=10, delta=0.18):
centers = clamp_centers(centers_init.copy())
r, ok, info = solve_radii_lp(centers, need_duals=True)
if not ok:
return centers, r, score_from_radii(r)
best_c, best_r = centers.copy(), r.copy()
best_s = score_from_radii(r)
for _ in range(rounds):
if time_left() < 0.05:
break
dual = info.get('dual', None) if isinstance(info, dict) else None
if dual is not None:
g = gradient_from_duals(centers, dual)
gmag = np.linalg.norm(g, axis=1)
else:
gmag = np.zeros(n)
idx_small = np.argsort(best_r)[:max(3, k // 2)]
idx_grad = np.argsort(-gmag)[:max(3, k - len(idx_small))]
sel = np.unique(np.concatenate([idx_small, idx_grad]))
move_mask = np.zeros(n, dtype=bool)
move_mask[sel] = True
c_try, r_try, s_try = polish_slp(centers, max_outer=60, delta0=delta, move_mask=move_mask)
if s_try > best_s + 1e-12:
best_s = s_try
best_c = c_try.copy()
best_r = r_try.copy()
centers = c_try
r, ok, info = solve_radii_lp(centers, need_duals=True)
all_scores.append(best_s)
else:
delta *= 0.8
if delta < 0.04:
break
return best_c, best_r, best_s
# Dual-guided ascent on centers (fallback/local method)
def dual_guided_optimize(centers_init, max_iters=120, step0=0.08):
centers = clamp_centers(centers_init.copy())
r, ok, info = solve_radii_lp(centers, need_duals=True)
if not ok:
return centers, r, score_from_radii(r)
best_c = centers.copy()
best_r = r.copy()
best_score = score_from_radii(r)
all_scores.append(best_score)
step = step0
stall = 0
for _ in range(max_iters):
if time_left() < 0.05:
break
dual = info.get('dual', None) if isinstance(info, dict) else None
if dual is None:
c2, r2, s2 = polish_slp(centers, max_outer=40, delta0=min(0.08, step))
if s2 > best_score + 1e-12:
centers, r = c2, r2
best_c = c2.copy()
best_r = r2.copy()
best_score = s2
all_scores.append(best_score)
step = min(0.25, step * 1.2)
stall = 0
else:
step *= 0.7
stall += 1
if stall > 6:
noise = rng.normal(0, step * 0.5, size=centers.shape)
centers = clamp_centers(centers + noise)
r, ok, info = solve_radii_lp(centers, need_duals=True)
if not ok:
break
stall = 0
continue
g = gradient_from_duals(centers, dual)
g_norm = np.linalg.norm(g, axis=1) + 1e-12
g_scaled = g / g_norm[:, None]
s_try = step
accepted = False
for _ in range(8):
c_try = clamp_centers(centers + s_try * g_scaled)
r_try, ok_try, info_try = solve_radii_lp(c_try, need_duals=True)
if not ok_try:
s_try *= 0.5
continue
sc = score_from_radii(r_try)
if sc > best_score + 1e-12:
centers = c_try
r = r_try
info = info_try
best_c = c_try.copy()
best_r = r_try.copy()
best_score = sc
all_scores.append(best_score)
step = min(0.25, max(step, s_try) * 1.15)
accepted = True
stall = 0
break
else:
s_try *= 0.5
if not accepted:
step *= 0.75
stall += 1
if stall % 4 == 0:
noise = rng.normal(0, max(1e-3, step * 0.4), size=centers.shape)
centers = clamp_centers(centers + noise)
r, ok, info = solve_radii_lp(centers, need_duals=True)
if not ok:
break
if stall > 12 and step < 5e-4:
break
return best_c, best_r, best_score
# L-BFGS over centers using LP sensitivities (bilevel)
def lbfgs_bilevel(centers_init, max_iters=300):
centers0 = clamp_centers(centers_init.copy())
if not scipy_available:
return dual_guided_optimize(centers0, max_iters=min(100, max_iters), step0=0.08)
try:
from scipy.optimize import minimize
except Exception:
return dual_guided_optimize(centers0, max_iters=min(100, max_iters), step0=0.08)
best_c = centers0.copy()
r0, ok0, info0 = solve_radii_lp(centers0, need_duals=True)
if not ok0:
return dual_guided_optimize(centers0, max_iters=min(100, max_iters), step0=0.08)
best_r = r0.copy()
best_s = score_from_radii(best_r)
all_scores.append(best_s)
def f_and_g(flat):
nonlocal best_c, best_r, best_s
if time_left() < 0.03:
# Return current best gradient zero to prompt termination
return -best_s, np.zeros_like(flat)
c = flat.reshape(n, 2)
c = clamp_centers(c)
r, ok, info = solve_radii_lp(c, need_duals=True)
if not ok:
# Penalize invalid solve
return 1e3, np.zeros_like(flat)
s = score_from_radii(r)
dual = info.get('dual', None) if isinstance(info, dict) else None
if dual is None:
g = np.zeros((n, 2), dtype=float)
else:
g = gradient_from_duals(c, dual)
# Track incumbent directly here
if s > best_s + 1e-12:
best_s = s
best_c = c.copy()
best_r = r.copy()
all_scores.append(best_s)
return -s, -g.reshape(-1)
bounds = [(eps, 1.0 - eps)] * (2 * n)
options = {
'maxiter': int(max(20, min(max_iters, 400))),
'ftol': 1e-12,
'gtol': 1e-6,
'maxcor': 20,
'disp': False
}
x0 = centers0.flatten()
# Callback to stop on time; best is already tracked in f_and_g, so cb only early-stops
def cb(_xk):
if time_left() < 0.02:
return True
return False
try:
minimize(fun=lambda x: f_and_g(x)[0],
x0=x0,
jac=lambda x: f_and_g(x)[1],
method='L-BFGS-B',
bounds=bounds,
callback=cb,
options=options)
except Exception:
# Fall back to dual-guided local optimizer
return dual_guided_optimize(best_c, max_iters=min(80, max_iters // 2 + 1), step0=0.06)
# Final LP tighten on best
r_best, ok_best, _ = solve_radii_lp(best_c, need_duals=False)
if ok_best:
best_s = score_from_radii(r_best)
best_r = r_best
all_scores.append(best_s)
return best_c, best_r, best_s
# Evolutionary exploration around a base solution
def evo_explore(base_c, base_r, rounds=30, sigma0=0.05, pop=12):
best_c = base_c.copy()
best_r = base_r.copy()
best_s = score_from_radii(base_r)
sigma = sigma0
success = 0
attempts = 0
for _ in range(rounds):
if time_left() < 0.1:
break
improvements = []
for _j in range(pop):
noise = rng.normal(0, sigma, size=best_c.shape)
c_child = clamp_centers(best_c + noise)
r_child, ok, _ = solve_radii_lp(c_child, need_duals=False)
if not ok:
continue
sc = score_from_radii(r_child)
improvements.append((sc, c_child, r_child))
if not improvements:
sigma *= 0.7
continue
improvements.sort(key=lambda x: -x[0])
top_sc, top_c, top_r = improvements[0]
attempts += 1
if top_sc > best_s + 1e-12:
success += 1
best_s = top_sc
best_c = top_c.copy()
best_r = top_r.copy()
all_scores.append(best_s)
if time_left() > 0.05:
c_ref, r_ref, s_ref = lbfgs_bilevel(best_c, max_iters=80)
if s_ref > best_s + 1e-12:
best_s = s_ref
best_c = c_ref.copy()
best_r = r_ref.copy()
all_scores.append(best_s)
sigma *= 1.1
else:
sigma *= 0.85
if attempts >= 10:
rate = success / max(1, attempts)
if rate > 0.25:
sigma *= 1.2
elif rate < 0.15:
sigma *= 0.8
attempts = 0
success = 0
return best_c, best_r, best_s
# Aggressive relocation of smallest circles to edges/corners
def relocate_worst(centers_init, trials_per_circle=28, k_frac=0.35):
centers = clamp_centers(centers_init.copy())
r_cur, ok, _ = solve_radii_lp(centers, need_duals=False)
if not ok:
return centers, r_cur, score_from_radii(r_cur)
order = np.argsort(r_cur)
k = max(2, int(np.ceil(k_frac * n)))
best_centers = centers.copy()
best_r = r_cur.copy()
best_s = score_from_radii(best_r)
def gen_candidates():
cands = []
# Edge-aligned dense candidates
for _ in range(trials_per_circle):
t = rng.uniform(0.06, 0.94)
off = rng.uniform(0.015, 0.18)
cands.append([t, off])
cands.append([t, 1.0 - off])
cands.append([off, t])
cands.append([1.0 - off, t])
# Corners with jitter
corners = np.array([[0.06, 0.06], [0.94, 0.06], [0.06, 0.94], [0.94, 0.94]])
for _ in range(max(1, trials_per_circle // 2)):
for c in corners:
jitter = rng.normal(0, 0.035, size=2)
cands.append(np.clip(c + jitter, eps, 1.0 - eps))
# Interior scattering
for _ in range(trials_per_circle // 2):
cands.append(rng.uniform(0.12, 0.88, size=2))
return np.array(cands, dtype=float)
for idx in order[:k]:
if time_left() < 0.03:
break
cands = gen_candidates()
# Local perturbation
local = centers[idx] + rng.normal(0, 0.05, size=(trials_per_circle // 2, 2))
local = clamp_centers(local)
cands = np.vstack([cands, local, centers[idx][None, :]])
# Evaluate each candidate by moving only this circle
best_local_s = best_s
best_local_c = best_centers.copy()
best_local_r = best_r.copy()
for cand in cands:
tmp_c = best_centers.copy()
tmp_c[idx] = cand
r_new, ok2, _ = solve_radii_lp(tmp_c, need_duals=False)
if not ok2:
continue
sc = score_from_radii(r_new)
if sc > best_local_s + 1e-12:
best_local_s = sc
best_local_c = tmp_c
best_local_r = r_new
if best_local_s > best_s + 1e-12:
best_s = best_local_s
best_centers = best_local_c
best_r = best_local_r
all_scores.append(best_s)
return best_centers, best_r, best_s
# Seeding strategies
def hex_seed(N):
rows = int(np.floor(np.sqrt(N)))
cols = int(np.ceil(N / max(1, rows)))
xs = np.linspace(0.12, 0.88, cols)
ys = np.linspace(0.12, 0.88, rows)
centers = []
idx = 0
for ri, yy in enumerate(ys):
offset = (xs[1] - xs[0]) * 0.5 if (ri % 2 == 1 and len(xs) > 1) else 0.0
for x in xs:
if idx >= N:
break
xi = np.clip(x + offset, 0.04, 0.96)
jitter = 0.02
centers.append([xi + rng.normal(0, jitter), yy + rng.normal(0, jitter)])
idx += 1
if idx >= N:
break
centers = np.array(centers, dtype=float)
while centers.shape[0] < N:
centers = np.vstack([centers, rng.uniform(0.1, 0.9, size=(1, 2))])
return clamp_centers(centers[:N])
def uniform_seed(N):
return clamp_centers(rng.uniform(0.08, 0.92, size=(N, 2)))
def edge_ring_seed(N):
per_side = max(5, N // 4)
centers = []
offset = 0.08
tvals = np.linspace(0.08, 0.92, per_side)
for t in tvals:
centers.append([t, offset]); centers.append([t, 1.0 - offset])
for t in tvals:
centers.append([offset, t]); centers.append([1.0 - offset, t])
centers = np.array(centers, dtype=float)
if centers.shape[0] < N:
extra = clamp_centers(rng.uniform(0.2, 0.8, size=(N - centers.shape[0], 2)))
centers = np.vstack([centers, extra])
return clamp_centers(centers[:N])
def farthest_seed(N):
grid = np.stack(np.meshgrid(np.linspace(0.08, 0.92, 31), np.linspace(0.08, 0.92, 31)), axis=-1).reshape(-1, 2)
idx0 = rng.choice(grid.shape[0], size=1, replace=False)[0]
centers = [grid[idx0]]
while len(centers) < N:
C = np.array(centers)
D = np.sqrt(np.maximum(np.sum((grid[:, None, :] - C[None, :, :])**2, axis=2), 0.0))
dmin = np.min(D, axis=1)
cand_idx = np.argmax(dmin)
centers.append(grid[cand_idx])
return clamp_centers(np.array(centers))
def corner_spokes_seed(N):
corners = np.array([[0.12, 0.12], [0.88, 0.12],
[0.12, 0.88], [0.88, 0.88]], dtype=float)
centers = []
k = N // 4
rem = N - 4 * k
for c in corners:
for _ in range(k):
ang = rng.uniform(0, 2 * np.pi)
rad = rng.uniform(0.0, 0.26)
pt = c + rad * np.array([np.cos(ang), np.sin(ang)])
centers.append(pt)
for _ in range(rem):
centers.append(rng.uniform(0.2, 0.8, size=2))
centers = np.array(centers, dtype=float)
return clamp_centers(centers)
def edge_bias_hex_seed(N):
base = hex_seed(N)
alpha = rng.uniform(0.9, 1.1)
scaled = 0.5 + alpha * (base - 0.5)
mask = rng.random(N) < 0.5
scaled[mask, :] = np.clip(
scaled[mask, :] + np.sign(scaled[mask, :] - 0.5) * 0.07,
eps, 1.0 - eps
)
return clamp_centers(scaled)
init_candidates = []
if isinstance(current_best_solution, np.ndarray):
try:
cb = current_best_solution.astype(float)
if cb.shape[0] == n and cb.shape[1] >= 2:
centers_cb = clamp_centers(cb[:, :2])
init_candidates.append(centers_cb)
for _ in range(4):
init_candidates.append(
clamp_centers(centers_cb + rng.normal(0, 0.01, size=centers_cb.shape))
)
except Exception:
pass
init_candidates.append(hex_seed(n))
init_candidates.append(uniform_seed(n))
init_candidates.append(edge_ring_seed(n))
init_candidates.append(farthest_seed(n))
init_candidates.append(corner_spokes_seed(n))
init_candidates.append(edge_bias_hex_seed(n))
for _ in range(4):
init_candidates.append(uniform_seed(n))
# Evaluate seeds
scored_seeds = []
for init_centers in init_candidates:
if time_left() < 0.4:
break
c0 = init_centers.copy()
r0, _, _ = solve_radii_lp(c0, need_duals=False)
sc0 = score_from_radii(r0)
scored_seeds.append((sc0, c0, r0))
all_scores.append(sc0)
scored_seeds.sort(key=lambda x: -x[0])
top_k = min(8, len(scored_seeds))
top_seeds = scored_seeds[:top_k] if top_k > 0 else []
best_circles = None
best_score = -1e18
def try_update_best(c, r):
nonlocal best_circles, best_score
sc = score_from_radii(r)
if best_circles is None or sc > best_score + 1e-12:
best_score = sc
best_circles = np.hstack([c, r.reshape(-1, 1)])
all_scores.append(best_score)
return True
return False
# Run bilevel L-BFGS + block SLP from top seeds
for _, c_init, _ in top_seeds:
if time_left() < 0.4:
break
max_iters = int(250 * min(1.0, max(0.25, time_left() / (time_budget + 1e-9))))
c1, r1, _ = lbfgs_bilevel(c_init, max_iters=max(60, max_iters))
try_update_best(c1, r1)
if time_left() < 0.15:
break
c2, r2, _ = block_slp_boost(c1, rounds=4, k=10, delta=0.18)
try_update_best(c2, r2)
# If nothing yet, start from a random
if best_circles is None:
c0 = uniform_seed(n)
r0, _, _ = solve_radii_lp(c0, need_duals=False)
try_update_best(c0, r0)
# Optional CMA-ES global search over centers (if available)
cma_available = True
try:
import cma
except Exception:
cma_available = False
if cma_available and time_left() > 0.6:
bounds = [0.0, 1.0]
def obj(flat):
c = flat.reshape(n, 2)
c = clamp_centers(c)
r, ok, _ = solve_radii_lp(c, need_duals=False)
if not ok:
return 1e3
return -score_from_radii(r)
restarts = 2 + (1 if time_left() > 6.0 else 0)
incumbent_c = best_circles[:, :2].copy()
incumbent_r = best_circles[:, 2].copy()
incumbent_s = score_from_radii(incumbent_r)
for ri in range(restarts):
if time_left() < 0.5:
break
x0 = incumbent_c.flatten()
sigma0 = 0.15 if ri == 0 else 0.2
popsize = 18 + 8 * ri
opts = {
'bounds': [bounds[0], bounds[1]],
'seed': int(rng.integers(1, 10**9)),
'popsize': popsize,
'maxiter': 1000000,
'verb_log': 0,
'verb_disp': 0,
'tolx': 1e-12,
}
es = cma.CMAEvolutionStrategy(x0, sigma0, opts)
while (not es.stop()) and time_left() > 0.3:
X = es.ask()
vals = [obj(x) for x in X]
es.tell(X, vals)
best_idx = int(np.argmin(vals))
best_flat = np.array(X[best_idx], dtype=float)
c_candidate = clamp_centers(best_flat.reshape(n, 2))
r_candidate, ok, _ = solve_radii_lp(c_candidate, need_duals=False)
if ok:
sc = score_from_radii(r_candidate)
if sc > incumbent_s + 1e-12:
incumbent_s = sc
incumbent_c = c_candidate.copy()
incumbent_r = r_candidate.copy()
all_scores.append(incumbent_s)
if time_left() < 0.5:
break
try_update_best(incumbent_c, incumbent_r)
# Aggressive relocation of smallest circles
if time_left() > 0.2:
centers = best_circles[:, :2].copy()
centers2, r2, _ = relocate_worst(centers, trials_per_circle=30, k_frac=0.38)
try_update_best(centers2, r2)
if time_left() > 0.2:
c3, r3, _ = lbfgs_bilevel(centers2, max_iters=100)
try_update_best(c3, r3)
# Evolutionary exploration + local bilevel polish
if time_left() > 0.35:
centers = best_circles[:, :2].copy()
r = best_circles[:, 2].copy()
rounds = int(16 + 100 * min(1.0, time_left() / (time_budget + 1e-9)))
c_evo, r_evo, _ = evo_explore(centers, r, rounds=rounds, sigma0=0.05, pop=14)
try_update_best(c_evo, r_evo)
# Final SLP polish and LP tighten
if time_left() > 0.15:
c_final, r_final, _ = polish_slp(best_circles[:, :2].copy(), max_outer=100, delta0=0.08, move_mask=None)
try_update_best(c_final, r_final)
try:
centers_final = best_circles[:, :2]
r_final, _, _ = solve_radii_lp(centers_final, need_duals=False)
best_circles = np.hstack([centers_final, r_final.reshape(-1, 1)])
best_score = score_from_radii(r_final)
if not all_scores or best_score > max(all_scores) + 1e-12:
all_scores.append(best_score)
except Exception:
pass
return {
'circles': best_circles.astype(float),
'all_scores': [float(s) for s in all_scores] if all_scores else [float(best_score)]
}
Blackbox Mathematical Optimization (EvalSet)
Here, we optimize a blackbox solver to minimize polynomial benchmark functions from the Evalset suite, benchmarked by Optuna.
Candidate — The seed candidate is a minimal random-search solver: it samples a single point uniformly at random within the given bounds, evaluates it, and returns the result. This provides a starting point and a template for the API.
SEED_CODE = """
import numpy as np
def solve(objective_function, config, best_xs=None):
bounds = np.array(config['bounds'])
x = np.random.uniform(bounds[:, 0], bounds[:, 1])
score = objective_function(x)
all_attempts = [{"x": x.copy(), "score": score})]
return {"x": x, "score": score, "all_attempts": all_attempts}
"""
Evaluator — The evaluator sandboxes the proposed solver code, runs it on a benchmark function, and returns rich Actionable Side Information (ASI): trial attempts, stdout/stderr, tracebacks, and budget status. A BudgetTracker helper distributes whatever evaluation budget is left across the remaining proposals, accounting for failures gracefully. opt_state passed through the evaluate function tracks the full optimization state; here we extract the best trials so far for warm-starting new proposals.
from gepa.examples.mathematical_optimization.utils import BudgetTracker
num_proposals = 10
budget = BudgetTracker(total_budgets=2000)
def evaluate(candidate, opt_state):
if budget.remaining <= 0:
return -1e9, {"score": -1e9, "Error": "No budget remaining"}
code = candidate["code"]
best_xs = extract_best_xs(opt_state) # warm-start from prior evaluations
result = execute_code(code, problem_index=0, budget=100, best_xs=best_xs)
budget.record(result)
return result["score"], {
"score": result["score"],
"all_trials": result["all_trials"],
"stdout": result.get("stdout", ""),
"error": result.get("error", ""),
"traceback": result.get("traceback", ""),
"budget_total": budget.total,
"budget_used": budget.used,
"proposal_total": num_proposals,
"proposal_completed": budget.candidates,
}
Optimizer - This is a Single-Task Search mode: no dataset needed, just a natural-language objective. background lets you inject domain knowledge and constraints into the optimization loop. cache_evaluation caches scores and side information, saving metric calls on repeated evaluations. max_candidate_proposals caps the total number of proposals generated across the entire run.
from gepa.optimize_anything import optimize_anything, GEPAConfig, EngineConfig, ReflectionConfig
optimize_anything(
seed_candidate={"code": SEED_CODE},
evaluator=evaluate,
config=GEPAConfig(
engine=EngineConfig(max_candidate_proposals=10, cache_evaluation=True),
reflection=ReflectionConfig(reflection_lm="openai/gpt-5"),
),
objective="Evolve Python code that minimizes a blackbox objective function "
"using the available evaluation budget efficiently.",
background="# Optional background, code requirements, strategies, etc..."
)
Optimized artifact — Here is the best artifact produced for P31: McCourt20. 250+ lines of solver code, fully generated by optimize_anything.
import numpy as np
from scipy.optimize import minimize
from scipy.spatial.distance import cdist
try:
from sklearn.gaussian_process import GaussianProcessRegressor
from sklearn.gaussian_process.kernels import Matern, ConstantKernel, WhiteKernel
SKLEARN_AVAILABLE = True
except Exception:
SKLEARN_AVAILABLE = False
def solve(objective_function, config, best_xs=None):
bounds = np.array(config['bounds'], dtype=float)
dim = config.get('dim', bounds.shape[0])
budget = int(config.get('budget', 100))
all_attempts = []
# Helper: clamp to bounds
def clip_to_bounds(x):
return np.clip(x, bounds[:, 0], bounds[:, 1])
# Evaluation accounting
eval_count = 0
best_score = np.inf
best_x = None
def eval_obj(x):
nonlocal eval_count, best_score, best_x
if eval_count >= budget:
return float(best_score if best_score < np.inf else 1e30)
x = np.asarray(x, dtype=float)
x_clipped = clip_to_bounds(x)
score = float(objective_function(x_clipped))
eval_count += 1
all_attempts.append({"x": x_clipped.copy(), "score": score})
if score < best_score:
best_score = score
best_x = x_clipped.copy()
return score
# Incorporate free previous data
X_hist = []
y_hist = []
if best_xs:
for item in best_xs:
x_prev = np.asarray(item["x"], dtype=float)
s_prev = float(item["score"])
x_prev = clip_to_bounds(x_prev)
all_attempts.append({"x": x_prev.copy(), "score": s_prev})
X_hist.append(x_prev)
y_hist.append(s_prev)
if s_prev < best_score:
best_score = s_prev
best_x = x_prev.copy()
X_hist = np.asarray(X_hist) if len(X_hist) > 0 else None
y_hist = np.asarray(y_hist) if len(y_hist) > 0 else None
# Handle degenerate budget
if budget <= 0:
if best_x is None:
x0 = np.random.uniform(bounds[:, 0], bounds[:, 1], size=dim)
return {"x": x0, "score": float("inf"), "all_attempts": all_attempts}
return {"x": best_x, "score": best_score, "all_attempts": all_attempts}
# Small budget: use cheap, simple strategy
if budget <= 5:
# If no evaluated point yet, force one evaluation at the center
if best_x is None:
x0 = np.mean(bounds, axis=1)
eval_obj(x0)
remaining = budget - eval_count
for _ in range(max(0, remaining)):
x0 = np.random.uniform(bounds[:, 0], bounds[:, 1], size=dim)
eval_obj(x0)
return {"x": best_x, "score": best_score, "all_attempts": all_attempts}
# Main strategy: global surrogate-guided + local refinement
remaining_budget = budget - eval_count
# Use 40% for surrogate-guided global search, 60% for local search
global_budget = max(5, int(0.4 * remaining_budget))
global_budget = min(global_budget, remaining_budget - 3) # leave some for local
if global_budget < 0:
global_budget = 0
local_budget = budget - eval_count - global_budget
# ---- Surrogate-guided global search ----
# We will iteratively:
# 1) sample a batch of candidate points
# 2) use surrogate to score/explore them
# 3) evaluate a few best candidates with true objective
# This is robust, avoids expensive inner optimizations.
def build_gp(X, y):
if not SKLEARN_AVAILABLE or X is None or len(X) < 5:
return None
try:
# Normalize outputs for stability
y_mean = np.mean(y)
y_std = np.std(y) if np.std(y) > 1e-12 else 1.0
y_norm = (y - y_mean) / y_std
kernel = ConstantKernel(1.0, (1e-3, 1e3)) * Matern(length_scale=np.ones(dim), nu=2.5) \
+ WhiteKernel(noise_level=1e-6, noise_level_bounds=(1e-9, 1e-2))
gp = GaussianProcessRegressor(
kernel=kernel,
alpha=0.0,
normalize_y=False,
n_restarts_optimizer=2,
random_state=None,
)
gp.fit(X, y_norm)
gp.y_mean_ = y_mean
gp.y_std_ = y_std
return gp
except Exception:
return None
def gp_predict(gp, Xc):
# Return mean and std in original scale
mu_norm, std_norm = gp.predict(Xc, return_std=True)
mu = mu_norm * gp.y_std_ + gp.y_mean_
std = std_norm * gp.y_std_
return mu, std
# Start with combined history: previous + any evaluations done so far (none yet here)
X_sur = X_hist.copy() if X_hist is not None else None
y_sur = y_hist.copy() if y_hist is not None else None
while global_budget > 0 and eval_count < budget:
# Build/update surrogate
gp = build_gp(X_sur, y_sur) if X_sur is not None and len(X_sur) >= 5 else None
# Number of real evaluations this iteration
batch_eval = min(5, global_budget)
# Generate candidate pool
n_candidates = max(50, 10 * dim)
rand_candidates = np.random.uniform(bounds[:, 0], bounds[:, 1], size=(n_candidates, dim))
# Add some perturbations of best point if available
if best_x is not None:
n_perturb = min(20, n_candidates // 4)
scale = (bounds[:, 1] - bounds[:, 0]) * 0.05
pert = best_x + np.random.randn(n_perturb, dim) * scale
pert = clip_to_bounds(pert)
cand = np.vstack([rand_candidates, pert])
else:
cand = rand_candidates
# Remove points very close to already sampled (in X_sur)
if X_sur is not None and len(X_sur) > 0:
dists = cdist(cand, X_sur)
min_d = dists.min(axis=1)
mask = min_d > 1e-6 * np.sqrt(dim)
cand = cand[mask]
if len(cand) == 0:
cand = np.random.uniform(bounds[:, 0], bounds[:, 1], size=(n_candidates, dim))
# Score candidates using acquisition function
if gp is not None and best_score < np.inf:
mu, std = gp_predict(gp, cand)
# Expected Improvement (EI) with jitter
eps = 1e-9
z = (best_score - mu - 1e-6) / (std + eps)
from scipy.stats import norm
ei = (best_score - mu) * norm.cdf(z) + std * norm.pdf(z)
# Prefer high EI; break ties by lower mu
order = np.argsort(-ei + 1e-9 * mu)
else:
# Fallback: purely random with slight exploitation toward best_x
if best_x is not None:
# Score by distance to best_x for mild exploitation
d = np.linalg.norm(cand - best_x, axis=1)
order = np.argsort(d)
# Reverse to explore first (farthest), then close
order = order[::-1]
else:
order = np.arange(len(cand))
np.random.shuffle(order)
# Evaluate top batch_eval candidates
selected = cand[order[:batch_eval]]
for x0 in selected:
if eval_count >= budget or global_budget <= 0:
break
score = eval_obj(x0)
global_budget -= 1
# Update surrogate data
if X_sur is None:
X_sur = np.asarray(x0, dtype=float).reshape(1, -1)
y_sur = np.array([score], dtype=float)
else:
X_sur = np.vstack([X_sur, x0])
y_sur = np.append(y_sur, score)
# ---- Local refinement using L-BFGS-B from diverse seeds ----
if eval_count >= budget or local_budget <= 0:
if best_x is None:
x0 = np.random.uniform(bounds[:, 0], bounds[:, 1], size=dim)
eval_obj(x0)
return {"x": best_x, "score": best_score, "all_attempts": all_attempts}
# Build starting points:
start_points = []
if best_x is not None:
start_points.append(best_x.copy())
# Add good points from history / surrogate data
pool_X = []
pool_y = []
if X_sur is not None and len(X_sur) > 0:
pool_X = X_sur
pool_y = y_sur
elif X_hist is not None and len(X_hist) > 0:
pool_X = X_hist
pool_y = y_hist
if len(pool_X) > 0:
idx_sorted = np.argsort(pool_y)
used = []
for idx in idx_sorted:
x_cand = pool_X[idx]
if len(used) == 0:
used.append(x_cand)
start_points.append(x_cand.copy())
else:
d = np.linalg.norm(np.array(used) - x_cand, axis=1)
if np.min(d) > 1e-3 * np.sqrt(dim):
used.append(x_cand)
start_points.append(x_cand.copy())
if len(start_points) >= 5:
break
# Add random seeds if needed
while len(start_points) < 3:
x0 = np.random.uniform(bounds[:, 0], bounds[:, 1], size=dim)
start_points.append(x0)
# Distribute remaining budget across starts
remaining_budget = budget - eval_count
if remaining_budget <= 0:
return {"x": best_x, "score": best_score, "all_attempts": all_attempts}
n_starts = len(start_points)
maxiter_per_start = max(1, remaining_budget // (2 * n_starts))
# Keep at least one evaluation per start
if maxiter_per_start < 3:
maxiter_per_start = 3
scipy_bounds = [(float(b[0]), float(b[1])) for b in bounds]
for x0 in start_points:
if eval_count >= budget:
break
def fun_wrapped(x):
return eval_obj(x)
try:
minimize(
fun_wrapped,
x0=x0,
method="L-BFGS-B",
bounds=scipy_bounds,
options={"maxiter": maxiter_per_start, "disp": False},
)
except Exception:
continue
if best_x is None:
x0 = np.random.uniform(bounds[:, 0], bounds[:, 1], size=dim)
eval_obj(x0)
return {"x": best_x, "score": best_score, "all_attempts": all_attempts}
Appendix: Make printf() Debugging Cool Again¶
If you already have print() statements scattered through your evaluation code for debugging (or perhaps call a library that logs to std streams), you can turn them into ASI with a single flag, no code changes needed:
from gepa.optimize_anything import optimize_anything, GEPAConfig, EngineConfig
result = optimize_anything(
...,
evaluator=evaluate, # existing print() calls become ASI
config=GEPAConfig(engine=EngineConfig(capture_stdio=True)),
)
With capture_stdio=True, any print() output inside your evaluator is automatically captured and included in side_info as "stdout" and "stderr", while still printing to your terminal as usual. Your debugging workflow stays the same, but now the optimizer can read the same diagnostics you can. This is handy for quick prototyping or wrapping existing evaluation scripts. For production use, we recommend oa.log() or structured side_info dicts for cleaner separation between debugging output and optimization feedback.
-
See OpenEvolve's island config (e.g. in their circle-packing example) and ShinkaEvolve's island strategies (e.g. in their circle-packing example). ↩
-
See OpenEvolve's prompt sampler and template system and ShinkaEvolve's patch-type sampling with prompt co-evolution. ↩
-
See OpenEvolve's three-stage cascade evaluator (e.g. configured here) and ShinkaEvolve's multi-run evaluation wrapper. ↩
-
See KernelBench's representative subsets of 35 problems. 4 problems (
23_Softmax,26_GELU,36_RMSNorm, and87_conv_pointwise_2D) are excluded due to OOM on V100 32GB. ↩